醋酸铜在古代被用作杀菌剂和绿色颜料,目前多用作无机合成中铜(II)的来源,也可在有机合成中作为催化剂或氧化剂。和所有铜化合物一样,乙酸铜的焰色反应为蓝绿色。

化学反应
醋酸铜可以作为碳负离子、自由基和烃类化合物的氧化剂,可以实现电负性底物的氧化偶联反应以及Si-C、 Bi-C、Pb-C和Sb-C键的溶剂裂解反应。还能用于烯烃与重氮酯的环丙化反应或作为路易斯酸参与反应。
醋酸铜对碳负离子具有氧化活性。在吡啶存在下,端炔可以发生氧化偶联反应得到二炔化合物。
采用三氟甲基磺酸铜作为氧化剂,可以实现α-磺酰基锂碳负离子的自身偶联反应。但是,采用醋酸铜作氧化剂则可以将其氧化为α,β-不饱和砜化合物。其它碳负离子也能在醋酸铜作用下发生偶联反应,例如: β-内酰胺的合成。
醋酸铜还能氧化烃类底物的C-H键。在氧气和吗啉存在下,醋酸铜可以催化苯酚的邻位羟基化反应。当隔绝氧气时,定量醋酸铜在醋酸存在下可以实现苯酚的邻位乙酸化反应。
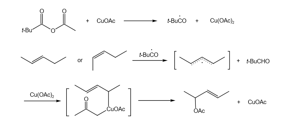
在醋酸铜催化下,过氧酯可以作用于丙烯化合物发生烯丙基氢被酰氧基取代的反应。该反应可能是先形成了烯丙基自由基,然后与Cu(II)快速反应得到Cu(III)中间体,最后经周环过渡态得到最终酰氧基取代烯烃。
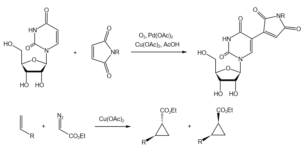
在催化量醋酸钯和过量醋酸铜共同作用下,能够实现烯丙基的氧化反应。在甲醇和氧气氛围下,催化量的醋酸铜可以促进乙烯基Si-C键的断裂得到乙烯基醚化合物。该反应具有高度的立体选择性,完全得到反式烯醇醚,在水存在下得到相应的醛。
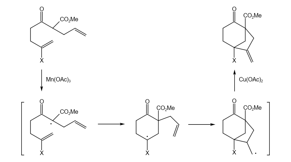
与自由基引发剂联合使用,醋酸铜还能参与自由基的氧化反应。如下图所示: β-羰基酯首先在Mn(OAc)3氧化下得到自由基,然后经分子内环化得到烷基自由基,最后在醋酸铜作用下被氧化为相应的烯烃。
醋酸铜还能用作钯催化反应中的氧化剂,将还原后的低价钯重新氧化为Pd(II)。醋酸铜与手性亚胺生成的配合物能诱导烯烃与重氮乙酸酯的不对称环丙化反应。
醋酸铜能与含氮化合物有效配位,作为路易斯酸参与含氮化合物的反应。例如: 在氧气存在下,催化量的醋酸铜可实现酰肼到羧酸的转换。
在氧气存在下,醋酸铜还能催化苯乙炔与二甲基胺的偶联反应,得到N,N-二甲基-2-苯基乙炔胺化合物。在没有氧气存在下,则生成1,4二苯基丁炔作为唯一的偶联产物。