背景技术
卤素阻燃剂虽然存在污染严重,毒性较大等缺点,但阻燃效率较高,技术成熟等优点使其仍然在新型阻燃剂开发中占有一席之地。其中,三溴新戊醇因具有高含量的脂肪键合溴,良好的光热稳定性而倍受关注。此外,三溴新戊醇中羟基活性较高,也常用作合成高分子量阻燃剂的中间体。
传统方法主要以季戊四醇和溴化氢为原料合成三溴新戊醇。如Davis等以季戊四醇和溴化氢为原料,乙酸为催化剂,水或四氟乙烯为溶剂,于90~120℃反应。该方法合成的产物主要是季戊四醇的二取代和三取代产物,三溴新戊醇纯度不高。此外,由于反应温度远高于溴化氢沸点(-66.8℃),溴化氢很容易逸出,故反应过程中需持续通入溴化氢,成本较高。柯建君等对该方法进行了改进。以季戊四醇为原料,冰醋酸为溶剂,在0.6~0.8MPa下通入溴化氢,于115~120℃反应制得三溴新戊醇的酯化物;然后加入甲醇进行去酯化合成三溴新戊醇。 该方法虽然可以提高三溴新戊醇的纯度,但在去酯化过程中溴化氢用量较大,对设备要求较高。
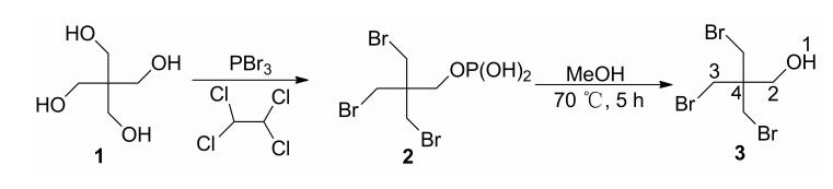
三溴化磷常于用制备溴代烃,其反应活性较高,三个溴原子均可取代羟基。姚成等提出可用季戊四醇和三溴化磷反应合成两个羟基被溴取代的 二溴新戊二醇。曾珺等以三溴化磷和季戊四醇为原料,在干燥条件下,直接将三溴化磷滴入季戊四醇中制得四个羟基均被溴化的季戊四溴。但尚未有用三溴化磷和季戊四醇合成三溴新戊醇的报道。
合成方法
在四口烧瓶中依次加入四氯乙烷200mL和0.2mol,将三溴化磷0.2mol分为三份,分三次连续加入,先于100℃缓慢滴加份三溴化磷,滴毕,反应5h;于115℃滴加第二份三溴化磷,滴毕,反应5h;于130℃滴加剩余三溴化磷,滴毕,反应5h。于146℃减压蒸除四氯乙烷得淡黄色液体2。 在反应瓶中加入2(1mol)和甲醇1.5mol,回 流(70℃)反应5h。过滤,滤饼用水洗涤至滤液pH7,抽滤,滤饼烘干得白色粉末3(三溴新戊醇),收率90%, m.p.67℃。

参考文献
[1]夏浪平,彭治汉. 三溴化磷法合成三溴新戊醇及其热性能[J]. 合成化学,2016,24(8):705-708.