氟马替尼的合成路线

2024/7/29 9:35:57 作者:谷雨
甲磺酸氟马替尼活性高、毒性低,稳定性良好。近年来,Gleevec又名伊马替尼成为治疗慢性粒细胞白血病的一线药物,但是有些病人用后产生了耐药性。研究表明,第二代Gleevec可较好解决耐药性问题。甲磺酸氟马替尼即是在Gleevec基础上开发的新一代白血病治疗药物,主要用于慢性粒细胞白血病的治疗。

合成路线

本发明的目的在于解决上述技术问题,提供一条新的氟马替尼合成路线,即以式(II)化合物和式(III)化合物为原料经过缩合、还原,得到式(V)化合物,再与式(VI)化合物缩合得到氟马替尼(Ⅰ)。

本发明合成工艺路线如下:

a、式(Ⅱ)化合物与式(Ⅲ)化合物反应得到式(Ⅳ)化合物,

式(Ⅳ)化合物的合成路线

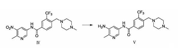
b、式(Ⅳ)化合物还原得到式(Ⅴ)化合物,

式(Ⅴ)化合物的合成路线

c、式(Ⅴ)化合物与式(Ⅵ)化合物反应得到式(Ⅰ)所示氟马替尼,

氟马替尼的合成路线

优选的,步骤a的具体操作步骤包括:

1、将式(II)和式(III)化合物溶于反应溶剂N,N-二甲基甲酰胺、乙酸乙酯、二氯甲烷、三氯甲烷、乙酸异丙酯、四氢呋喃、1,4-二氧六环、乙腈或吡啶中。

2、控制反应体系温度-20~40℃加入碱,TLC监测反应结束,加水,用有机溶剂萃取、分液,有机层浓缩至干,得式(Ⅳ)化合物;所述碱选自氢氧化钠、碳酸钠、碳酸钾、氨水、吡啶、DIEA、三乙胺、叔丁醇钾或叔丁醇锂,优选吡啶、DIEA、三乙胺或叔丁醇钾。

3、任选的,将式(Ⅳ)化合物用二氯甲烷、丙酮、乙腈、甲醇、乙醇、异丙醇或乙酸乙酯重结晶纯化。

优选的,步骤b的具体操作步骤包括:将式(IV)化合物溶于甲醇或乙醇中,加入金属催化剂,在一定温度和压强下,加氢气还原,TLC监测反应结束,反应液过滤,滤液浓缩至干得式(V)化合物。

优选的,金属催化剂为钯炭或兰尼镍,更优选钯炭,特别优选10%钯炭。

优选的,催化加氢反应的反应温度为10~60℃,更优选20~40℃;催化加氢反应的氢气压强为0.1~0.5MPa,优选0.2~0.5MPa。

优选的,步骤c具体操作步骤包括:

1、式(V)和式(VI)化合物溶于反应溶剂N,N-二甲基甲酰胺、N,N-二甲基乙酰胺、乙酸乙酯、乙酸异丙酯、四氢呋喃、1,4-二氧六环或丙酮中,控温-20~40℃加入钠氢,反应1~10h,加水淬灭,用有机溶剂萃取、分液,有机层浓缩至干,得式(Ⅰ)氟马替尼;

2、将式(Ⅰ)氟马替尼用二氯甲烷、丙酮、乙腈、甲醇、乙醇、异丙醇或乙酸乙酯重结晶纯化,优选用甲醇重结晶纯化。

本发明工艺路线原料易得、且价格低廉,反应条件温和,适合工业化放大生产,制备氟马替尼质量高,是环境友好型的生产工艺。

参考文献

CN105884746B

免责申明 ChemicalBook平台所发布的新闻资讯只作为知识提供,仅供各位业内人士参考和交流,不对其精确性及完整性做出保证。您不应 以此取代自己的独立判断,因此任何信息所生之风险应自行承担,与ChemicalBook无关。文章中涉及所有内容,包括但不限于文字、图片等等。如有侵权,请联系我们进行处理!
阅读量:1251 0

欢迎您浏览更多关于氟马替尼的相关新闻资讯信息