介绍
1-甲基-5-羟基吡唑(5-Hydroxy-1-methylpyrazole)是一种有机化合物,化学式为C4H5N2O,分子量为95.09 g/mol。外观为白色至淡黄色晶体粉末,具有特定的溶解性,可以溶解于乙醇、甲醇、二甲基亚砜、氯仿等有机溶剂中,但在水中不稳定。它能与一些金属离子形成配合物,并且可以发生氧化反应生成氧化物。

图一 1-甲基-5-羟基吡唑
应用
1‑甲基‑5‑羟基吡唑是一种重要的农药中间体,是合成苯甲酰基吡唑类化合物的重要原料。苯甲酰基吡唑类化合物作为一种对羟苯基丙酮酸双氧化酶(HPPD)抑制剂型除草剂,具有高效、高选择性、低毒等优点。高效新型玉米地除草剂苯唑草酮作为其中的佼佼者脱颖而出,其市场正在进一步发展和扩大。
合成
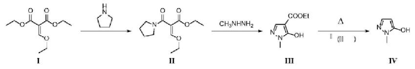
王益锋使用了四氢吡咯作为酰胺化试剂,活性更高,反应速率更快,选择性更好,提高了收率。具体步骤如下:
室温下,在100m L圆底烧瓶中加入乙氧基甲叉丙二酸二乙酯6.49g(30mmol),称取四氢吡咯2.34g(33mmol)缓慢滴加到烧瓶中,然后在25℃下反应3小时,称取甲基肼水溶液(40%)4.49g(甲基肼39mmol)缓慢滴加入上述溶液中,反应温度控制在25℃,反应时间为5小时,接着缓慢滴加15m L浓盐酸(质量分数37%),有黄色固体析出,随后溶解,溶液变为黄色澄清溶液。然后将圆底烧瓶置于100℃下油浴加热回流6小时。待冷却至室温后,用30%质量分数氢氧化钠溶液调节反应液pH呈中性,加入NaCl固体至溶液饱和,使用正丁醇萃取水溶液,分液,取有机层,减压蒸馏除去大部分正丁醇后,过滤析出的残余NaCl,滤液于冰浴中缓慢滴入石油醚并且快速搅拌,析出黄色固体,过滤,真空干燥,得到2.80g的产物1-甲基-5-羟基吡唑,收率为89.4%,HPLC纯度为94%[1]。

图二 1-甲基-5-羟基吡唑的合成
参考文献
[1]王益锋,韩宏特,许丹倩,等.一种1-甲基-5-羟基吡唑的合成方法[P].浙江省:CN202011516258.9,2022-10-11.