简介
聚丁二酸丁二醇酯(PBS)是典型的生物可降解型脂肪族聚酯,具有相对较高的熔点,约为110~115 ℃,且加工性能优、化学稳定性好、价格低廉,广泛用于食品包装袋、餐具、农膜以及生物医药高分子材料等领域。

图一 聚丁二酸丁二醇酯
应用
聚丁二酸丁二醇酯作为产业化成熟度高的全生物降解高分子材料,具有良好的力学性能、加工适应性与生物相容性,可制成耐油脂、耐水的一次性食品接触用品、快递缓冲材料及农产品保鲜膜,废弃后能在土壤或堆肥中完全降解;可替代传统PE地膜,3-6个月自然降解且不破坏土壤结构,育苗容器移栽时无需脱盆、避免根系损伤,还能作为缓释肥料包膜调控养分释放,契合绿色农业需求。
合成
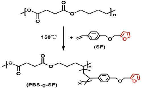
聚丁二酸丁二醇酯的合成路线主要分为化学聚合法和生物酶聚合法,其中,化学聚合法是目前工业生产PBS的主要路线,但制备的PBS分子量偏低,导致力学性能较差,通常需要进行扩链才能满足材料的应用要求。传统的扩链剂法在近20年来一直是研究重点,当前广泛使用的扩链剂,包括二异氰酸酯类、二恶唑啉类等,既有优势,也有缺陷。聚合物扩链后黏度增大与加工效率的平衡,以及扩链聚合物的可降解性等问题,都是PBS生产和改性中需要研究的重要内容。
1)通过调节接枝单体浓度、自由基引发剂浓度、扩链剂小分子结构和浓度,能对聚丁二酸丁二醇酯扩链程度进行调控,当SF接枝量达到0.44%(x)时,每条PBS分子链上平均有1.1个呋喃侧基,理论上可产生支化型聚合物;在SF接枝量最高的PBS-5-3中,每条PBS分子链上呋喃侧基的平均数量为2.8个,理论上可产生轻度交联型聚合物。
2)PBS-1-2和PBS-5-3经BMPh扩链后的特性黏度分别由1.350和1.426增至1.682和1.737。利用动态共价键进行扩链的PBS可保持与线型PBS相近的熔融加工性能。
3)扩链PBS具有更高的结晶温度、断裂强度和断裂伸长率,在脂肪酶作用下具有可降解性能[1]。

图二 聚丁二酸丁二醇酯的扩链路线
参考文献
[1]刘欣,李澜鹏,白富栋,等.基于Diels-Alder反应制备聚丁二酸丁二醇酯扩链聚合物[J/OL].石油化工,1-11[2025-10-02].https://link.cnki.net/urlid/11.2361.TQ.20250929.0946.008.