O,O-二甲基磷酰氯,又名氯磷酸二甲酯,是一种重要的有机磷化合物。无色透明液体,溶于酒精、苯、四氯化碳等有机溶剂,遇水分解。O,O-二甲基磷酰氯具有较强的反应活性,分子中含有磷酰氯基团,易发生水解、醇解、胺解等反应,能与多种亲核试剂发生取代反应。主要用于农药领域,是合成有机磷杀虫剂甲基硫环磷的重要中间体。此外,在医药、化工等行业也有一定的应用,可作为有机合成的中间体。
制备方法
将7.6g(0.05mol)三氯氧磷投入三口瓶中,搅拌冷至-10℃。缓慢滴加3.2g(0.1mol)甲醇,温度控制在-5℃,滴加用时1h。继续搅拌1小时。将反应物加入到0℃冷水中洗涤、分层,下层为二氯化物。冷却至-10℃。将10.0g(0.1mol)碳酸氢钾分批加入到二氯化物中,温度维持在-5℃。加毕,用1%的盐酸水洗涤,静置分层,取下层,得产品O,O-二甲基磷酰氯6.5g,收率90%[1]。

有机应用
1、专利CN201810211196.7实施例15第二步反应:2-乙基-3,7-二甲基-6-(4-(三氟甲氧基)苯氧基)喹啉-4-基二甲基磷酸酯的制备:将3.77g(0.01mol)2-乙基-3,7-二甲基-6-(4-(三氟甲氧基)苯氧基)喹啉-4-羟基、0.8g(0.02mol)氢氧化钠依次溶于30ml二氯甲烷中,低温浴冷至10℃。向上述混合物中分批加入1.5g(0.01mol)O,O-二甲基磷酰氯,温度维持在20℃以下。加毕,回流反应4h。向反应体系中加入30ml水,二氯甲烷(3*20ml)萃取。合并有机层,无水硫酸镁干燥。减压脱溶,柱层析得产品2.9g,收率60%[1]。

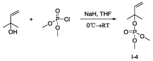
2、专利CN202210049322.X实施例iv合成化合物I‑4的合成,在烧瓶中加入2‑甲基‑3‑丁烯‑2‑醇(2.4mol)和700mL四氢呋喃,将体系冷至0℃后,氮气保护下,分批加入NaH(60%矿物油,2.4mol),然后将体系缓慢升至室温,继续反应30min,然后缓慢滴加O,O-二甲基磷酰氯(2.4mol)和300mL四氢呋喃的混合溶液,滴加完毕后,室温下继续反应2h。然后将混合物冷却至0℃,缓慢加水淬灭反应,使用二氯甲烷萃取,分出有机相,用饱和食盐水洗涤,无水硫酸钠干燥,在50℃、80hpa条件下除去溶剂,最后在80℃、10hpa条件下通过减压蒸馏进一步提纯得到产物2‑甲基‑3‑丁烯‑2‑醇二甲基磷酸酯I‑4(产率91%)[2]。

参考文献
[1] 山东中农联合生物科技股份有限公司,山东省联合农药工业有限公司. 喹啉类衍生物及其制备方法与用途:CN201810211196.7[P]. 2019-09-24.
[2] 万华化学集团股份有限公司. 一种α-松油醇的合成方法:CN202210049322.X[P]. 2022-04-12.