L-亮氨醇又称(S)-(+)-2-氨基-4-甲基-1-戊醇、L-(+)-亮氨醇等,通常为白色或几乎白色结晶粉末。可溶于氯仿、二氯甲烷、乙酸乙酯、DMSO、丙酮等有机溶剂。主要用作有机合成原料,特别是在不对称合成中作为手性辅助剂或配体,有助于生成对映体纯化合物,可用于开发新的化学实体和材料。

应用
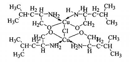
1、专利CN201310528507.X提供了一种手性亮氨醇氯化铜配合物(I),该配合物(I)的合成方法是(L)-亮氨醇与二水合氯化铜以摩尔比3:1反应,用电子天平称取3.8337ml(0.03mol)L-亮氨醇和2.4908g(0.01mol)六水合乙酸钴放入100ml圆底烧瓶中,加入30ml甲醇做反应溶剂,加热回流搅拌48h。反应结束后立即用锥形瓶热过滤,用保鲜膜密封,常温下静置,两天后出现红褐色的晶体,改配合物在苯甲醛的亨利反应中显示了较好的催化性能,其转化率达75%[1]。

2、专利CN201210024247.8公开了一种掺入型亮氨醇阻锈剂的配制方法,该产品是以L-亮氨醇、水、正钒酸盐、琉基苯并噻唑、三聚磷酸钠、聚丙烯酸钠为原料,在特定温度下通过掺混的办法来制备掺入型亮氨醇钢筋混凝土水剂型阻锈剂,该配制方法具有工艺简单,生产成本低,产品质量好,使用方法简便,适宜添加到普通的工业民用建筑沿海工程的各种混凝土中,使用后具有良好的阻锈效果,且价格低廉、无毒,对从事混凝土施工的操作人员身体健康无影响[2]。
3、王祯等人以十二烷基硫酸钠(SDS)为模板,L-亮氨醇为手性源制备了手性无机介孔硅。热重曲线测试表明,L-亮氨醇手性介孔硅具有很好的热稳定性,将其作为气相色谱固定相,采用动态涂敷的方法制备毛细管气相色谱手性柱,L-亮氨醇介孔硅柱能够对15种外消旋体包括酯、环氧烷烃、醛、酮、醚、醇和氨基酸衍生物进行拆分,同时也对位置异构体,正构烷烃混合物、正构醇类混合物、芳香族混合物以及Grob试剂进行了不同程度的分离。结果表明,L-亮氨醇介孔硅作为毛细管气相色谱固定相能对外消旋体等有机物进行较好的分离,具有良好的应用前景[3]。
参考文献
[1] 合肥工业大学. 一种手性亮氨醇铜配合物:CN201310528507.X[P]. 2014-02-12.
[2] 朱云利. 一种掺入型亮氨醇阻锈剂的配制方法:CN201210024247.8[P]. 2013-08-14.
[3] 王祯,普青,袁黎明. 基于(S)-(+)-亮氨醇的手性介孔硅用作气相色谱固定相研究[J]. 分析试验室,2021,40(4):373-379. DOI:10.13595/j.cnki.issn1000-0720.2020.073003.