氨基八聚乙二醇叔丁酯是一种含有氨基、叔丁酯基和聚乙二醇链段的功能性化合物,属于PEG衍生物的一种,在生物医药、材料科学等领域常用作连接子或修饰剂。通常为无色至浅黄色粘稠液体或固体,具有良好的水溶性和有机溶剂相容性。氨基八聚乙二醇叔丁酯作为连接子用于药物偶联物,也用于功能化材料的制备,可以构建更复杂的多功能化合物或聚合物。

合成方法[1]
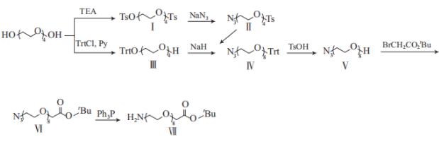
1、双端对甲苯磺酰基四甘醇的合成
取三口瓶,氮气保护下依次加入OEG4(10g,51.49mmol)、TEA(20.84g,205.94mmol)、 DCM(120mL),待温度降至0℃后加入TsCl(19.63g,102.97mmol),室温搅拌12h。反应完毕后用2mol/L盐酸溶液萃取3次,用无水Na2SO4干燥,然后过滤、浓缩、硅胶柱层析(洗脱剂EA/PE体积比1∶1)。减压蒸馏得25.36g淡黄色油状产物双端对甲苯磺酰基四甘醇。
2、叠氮对甲苯磺酰基四甘醇的合成
取三口瓶,氮气保护下依次加入双端对甲苯磺酰基四甘醇(25.36g,50.46mmol)、DMF(120mL)、NaN3(3.28g,50.46mmol),60℃下搅拌12h。反应完毕后减压浓缩,用DCM和饱和NaCl溶液萃取3次,有机相用无水Na2SO4干燥,然后 过滤、浓缩、硅胶柱层析(洗脱剂EA/PE体积比2∶1)。减压蒸馏得11.68g淡黄色油状产物叠氮对甲苯磺酰基四甘醇。
3、单端三苯基四甘醇的合成
取三口瓶,氮气保护下依次加入OEG4(10g,51.49mmol)、Py(8.15g,102.97mmol)、TrtCl(14.35g,51.49mmol),40℃下搅拌12h。反应完毕后体系用DCM和饱和NaCl溶液萃取3次, 用无水Na2SO4干燥,然后过滤、浓缩、硅胶柱层析(洗脱剂EA/PE体积比2∶1)。减压蒸馏得11.46g淡黄色油状产物单端三苯基四甘醇。
4、叠氮三苯基八甘醇的合成
取三口瓶,氮气保护下依次加入NaH(3.38g,84.73mmol)、新鲜除水THF(150mL),待温 度降至0℃后,滴加单端三苯基四甘醇(11.1g,25.42mmol),30min 后滴加叠氮对甲苯磺酰基四甘醇(7.91g,21.18mmol),室温下搅拌12h。 反应完毕后加入冰乙酸(10.18g,169.46mmol)终止反应。减压浓缩体系,用DCM和饱和氯化钠溶液萃取3次,有机相用无水Na2SO4干燥,然后过滤、浓缩、硅胶柱层析(洗脱剂EA/PE体积比1∶1)。减压蒸馏得12.42g无色油状产物叠氮三苯基八甘醇。
5、单端叠氮八甘醇的合成
取三口瓶,氮气保护下依次加入叠氮三苯基八甘醇(11.21g,17.58mmol)、甲醇、TsOH(6.68g,35.15mmol),室温下搅拌12h。反应完毕后减压浓缩体系,用DCM和饱和氯化钠溶液萃取3次, 用无水Na2SO4干燥,然后过滤、浓缩、硅胶柱层析(洗脱剂 DCM/MeOH体积比20∶1),减压蒸馏得6.32g无色油状产物单端叠氮八甘醇。
6、叠氮叔丁酯基八甘醇的合成
取三口瓶,氮气保护下依次加入NaOH(2.56g,63.93mmol)、DCM(60mL),待温度降至0℃后滴加单端叠氮八甘醇(6.32g,15.98mmol)和溴乙酸叔丁酯(7.75g,39.95mmol),室温下搅拌12h。减压浓缩体系,用DCM和水萃取1次, 用无水Na2SO4干燥,然后过滤、浓缩、硅胶柱层析(洗脱剂EA/PE体积比1∶3)。减压蒸馏得6.1g淡黄色油状产物叠氮叔丁酯基八甘醇。
7、氨基八聚乙二醇叔丁酯的合成
取单口瓶,依次加入中间体叠氮叔丁酯基八甘醇(4.47g,8.77mmol)、甲苯(100mL), 待体系降至0℃时加入Ph3P(2.76g,10.53mmol),2h后滴加水(0.32g,17.54mmol)。室温下搅拌10h。 反应完毕后减压浓缩体系,用乙醚和去离子水萃取3次,减压浓缩水相,用中性氧化铝柱层析(洗脱剂DCM/MeOH体积比20∶1),减压蒸馏得3.64g淡黄色产物氨基八聚乙二醇叔丁酯。

参考文献
[1]石立旺,张楠,杜超,等. 氨基叔丁酯基八甘醇的制备及改善姜黄素溶解性[J]. 石油化工,2023,52(12):1669-1675. DOI:10.3969/j.issn.1000-8144.2023.12.005.