背景及概述
近年来合成的许多医药和农药结构中都含有嘧啶环,极大地促进了嘧啶类化合物的发展。4,6-二甲基-2-甲磺酰基嘧啶是一种重要的化工原料,广泛应用于生物医药及化工领域,4,6-二甲基-2-甲磺酰基嘧啶是合成治疗肺动脉高压的高选择性内皮素受体拮抗剂安立生坦的重要中间体,也可用于合成具有抗肿瘤活性化合物及制备除草剂、杀菌剂、食欲抑制剂等。

图1 4,6-二甲基-2-甲磺酰基嘧啶的性状图
制备
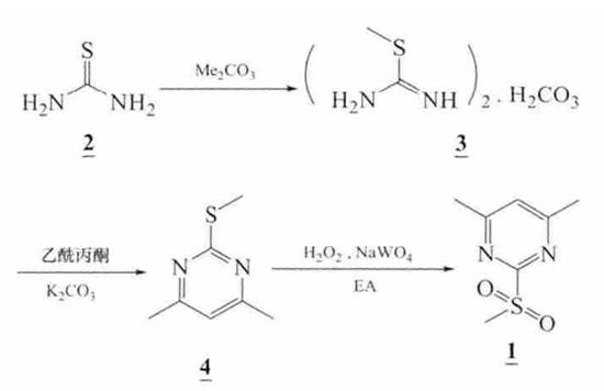
参考文献[1]以硫脲为原料,经碳酸二甲酯甲基化,乙酰丙酮环合,再用过氧化氢氧化得到4,6-二甲基-2-甲磺酰基嘧啶,3步反应的总收率为71.0%。目标化合物结构经GC-MS、1HNMR确证。

图2 4,6-二甲基-2-甲磺酰基嘧啶合成路线图
实验操作:
向250mL三颈瓶中加入15.0g(0.10mol)4,6-二甲基-2-甲硫基嘧啶(4),100mL乙酸乙酯溶解,加入1.2g(3.80mmol)钨酸钠,搅拌溶解,冰浴下滴加43.5g(0.38mol,30%)过氧化氢,滴毕升温至60℃反应1h,TLC检测反应完全,冷却至室温,加入饱和亚硫酸钠溶液淬灭剩余的过氧化氢,分出有机层,水层用乙酸乙酯萃取(3×50mL),合并有机层,有机层分别用水洗涤,饱和食盐水洗涤,加入无水硫酸镁干燥,抽滤,蒸干得到20.3g白色固体1,收率89.5%,m.p.83~85℃,纯度>98%(GC)。GC-MS:186.1[M]+。1HNMR(DMSO-d6),δ:2.31(s,6H,2×CH3),2.93(s,3H,CH3S),7.44(s,1H,ArH)。
安全信息
4,6-二甲基-2-甲磺酰基嘧啶具有一定的毒性。接触到皮肤、眼睛和呼吸道时,可能引起刺激和损伤。应避免吸入其粉尘或蒸气。4,6-二甲基-2-甲磺酰基嘧啶是可燃物质。在火源的存在下,可能发生燃烧或爆炸。应远离火源、热和明火。
储存和处理
应将4,6-二甲基-2-甲磺酰基嘧啶储存在密封的容器中,远离氧化剂和火源。避免与强酸、强碱等物质接触。在使用过程中戴上适当的防护装备,如手套、护目镜和防护衣。4,6-二甲基-2-甲磺酰基嘧啶的废弃物应按照当地法规进行处理。不要将其排放到自然环境中,应选择适当的垃圾处理方式进行处理。
参考文献
[1]4,6-二甲基-2-甲磺酰基嘧啶的合成.邢磊,周启璠,陈国良.[J]精细化工中间体.2014-12-28.