背景及概述
1,2,3,9-四氢-4H-2-咔唑-4-酮又称四氢咔唑酮(tetrahydrofurfuryl ketone),是咔唑酮类化合物中较为常见的结构单元,是合成昂丹司琼、卡维地洛等临床医药的关键中间体。本文简述其特性、应用、制备工艺及废液处理方法。
特性及应用
1,2,3,9-四氢-4H-2-咔唑-4-酮可溶于许多有机溶剂,如乙醇、醚类和酮类溶剂。化学性质稳定,不易分解,可长时间储存。

图1 1,2,3,9-四氢-4H-2-咔唑-4-酮性状图
1,2,3,9-四氢-4H-2-咔唑-4-酮作为有机溶剂,用于油漆、涂料、胶黏剂、塑料等行业。此外,1,2,3,9-四氢-4H-2-咔唑-4-酮结构具有乙肝病毒抑制活性且细胞毒性较小,被认定为潜在治疗HBV的新化合物。
制备
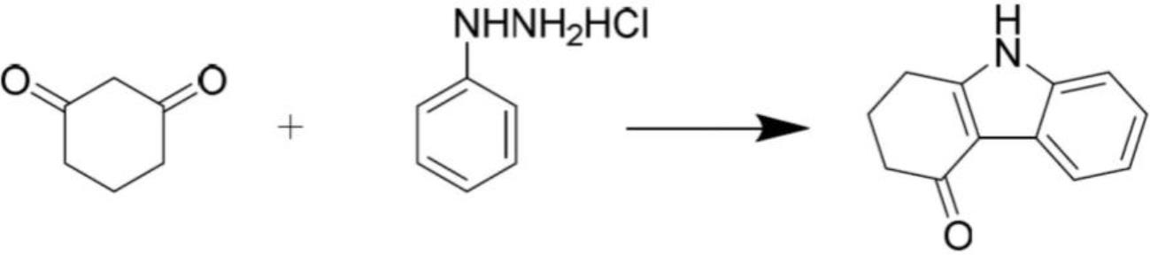
目前工业上多采用 Fischer 吲哚合成法制备1,2,3,9-四氢-4H-2-咔唑-4-酮,主要以1.3-环已二酮和苯肼为原料,先合成1,3-环已二酮单苯腙,再进行环合反应制取,或采用延长回流时间的“一锅法”法进行生产,生产过程中均采用 ZnCl2为催化剂在醋酸溶液中进行,最终转化率也不足50%。

图2 1,2,3,9-四氢-4H-2-咔唑-4-酮合成反应式
反应完成后,每生产1吨1,2,3,9-四氢-4H-2-咔唑-4-酮产生 10吨左右废液。由于废液量大、酸性高,若此类生产废液随意排放,不仅污染环境、危害水资源,同时造成大量 ZnCl2资源的浪费。参考文献[1]提出高温碳化处理废液的新方法,并分析探讨两种处理方法的特点,确定废液处理的工艺路线及最佳操作条件,以期解决 ZnCl2催化剂的回收利用问题,为1,2,3,9-四氢-4H-2-咔唑-4-酮生产企业提供借鉴。
安全信息
1,2,3,9-四氢-4H-2-咔唑-4-酮应避免与强氧化剂接触,以防发生火灾或爆炸。在使用过程中应注意避免接触皮肤和眼睛,如不慎接触,应立即用水冲洗。在操作过程中,应保持良好的通风环境,避免吸入蒸气。存储时应远离火源和热源,并保持容器密闭,避免阳光直射。
参考文献
[1]刘西德,周迪.1,2,3,9-四氢咔唑-4-酮生产废液处理及氯化锌回收利用[J]应用化学.2020.第37卷第1期.