背景及概述
1-(2,3-二氯苯基)哌嗪是重要的医药中间体,更是合成调节神经类药物的关键原料。可以通过多卤代苯胺与二乙醇胺缩合环化,或由多卤代溴苯与哌嗪缩合得到,但前者产率较低,后者需要贵金属做催化剂,合成成本较高。
制备
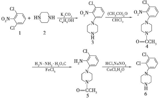
参考文献[1]设计了两条合成路线。一是尝试用2,6-二氯硝基苯和无水哌嗪进行烃化,再通过乙酰化、硝基还原、桑德迈尔反应及水解除去乙酰基,得目标产物1-(2,3-二氯苯基)哌嗪;

图1 1-(2,3-二氯苯基)哌嗪合成路线1
二是直接用哌嗪和2,3-二氯溴苯通过乌尔曼反应合成目标产物1-(2,3-二氯苯基)哌嗪。设计的合成路线如下。

图2 1-(2,3-二氯苯基)哌嗪合成路线2
方法一、
将6.1g(24mmol)化合物5溶于8.5mL浓盐酸和14mL水的混合液,加入到100mL的四口烧瓶中,用冰浴冷却至0℃。将1.84g(26mmol)亚硝酸钠溶于3mL水中,在0.5h内滴入芳胺的盐酸溶液中重氮化,再加入0.5g尿素搅拌15min。然后将重氮盐迅速加入已冷却到0℃的4.78g(44mmol)氯化亚铜的44mL盐酸溶液中,待反应液自然升温至室温,在室温下搅拌2h,有大量黄色固体出现,再加热至80℃保持30min,以分解剩余的重氮盐。冷却、过滤,将滤饼溶于50mL水中,用氢氧化钠调节pH10左右,用三氯甲烷提取,提取液经减压浓缩得4.34g微黄色液体1-(2,3-二氯苯基)哌嗪,收率78%。
方法二、
将12.5g(150mmol)无水哌嗪(2)和22.6g(100mmol)2,3-二氯溴苯(7)加入到100mL三口烧瓶中,再加1.0g无水硫酸钠和1.0g铜粉,加热至140℃,反应15h,反应过程用TLC监控至原料点基本消失。反应物冷却后加入5%的NaOH溶液(约6mL)调节pH到11。过滤,滤饼用三氯甲烷洗涤,水相用三氯甲烷萃取。合并三氯甲烷,旋干溶剂,得棕色油状物,减压蒸馏得1.6g微黄色液体1-(2,3-二氯苯基)哌嗪,收率7.1%。
参考文献
[1]李宁蔚,朱泉.1-(2,3-二氯苯基)哌嗪的合成及其工艺研究.[J]化学试剂.2006-08-15.