介绍
叔丁氧羰基-L-谷氨酸-5-叔丁酯,简称 Boc-L-Glu (OtBu)-OH,兼具正交保护基团与固有手性特征,在有机合成、天然产物全合成及药物化学领域有所应用。在新型苯并萘啶生物碱的首次全合成中作为手性构建单元。

图一 叔丁氧羰基-L-谷氨酸-5-叔丁酯
性质
叔丁氧羰基-L-谷氨酸-5-叔丁酯的分子式为C₁₄H₂₅NO₆,分子结构以L-谷氨酸为母核,α-氨基被叔丁氧羰基(Boc)保护,γ- 羧基被叔丁酯(OtBu)保护,α- 羧基保持游离状态。Boc 基团可在酸性条件下脱除,OtBu 基团需更强酸性才能水解,而 α- 羧基可直接参与酰胺化等反应,为多步合成中的官能团调控提供正交性。外观为白色结晶性粉末或疏松晶体,无明显异味;易溶于DCM、THF、EtOAc、DMF等有机溶剂,微溶于甲醇、乙醇,几乎不溶于水。在常温、干燥条件下对空气与湿度稳定作为L-构型衍生物,其手性与天然L-谷氨酸一致,通常在+10° 至+15°(c=1,EtOAc)范围内。
反应适应性
在常见有机合成条件下,叔丁氧羰基-L-谷氨酸-5-叔丁酯展现出良好的反应耐受性:可与格氏试剂2-甲基-1-丙烯基溴化镁、酰胺化试剂HATU、DIPEA、酸性脱保护试剂浓 H₂SO₄、TFA兼容,且在0℃至回流温度范围内均能保持结构稳定,无需特殊惰性气体保护,大幅降低了实验操作难度。
反应应用
在不对称合成领域,叔丁氧羰基-L-谷氨酸-5-叔丁酯的固有手性可作为手性辅基诱导不对称反应,如与醛类化合物发生 Aldol 反应时,谷氨酸母核的手性可控制产物的立体构型,得到单一构型的 β- 羟基羧酸衍生物,这类衍生物是合成手性药物(如降血脂药阿托伐他汀)的重要中间体。其次,它可通过脱 Boc 保护(TFA/DCM)暴露α-氨基,与下一个氨基酸的羧基形成肽键,同时γ-羧基的 OtBu 保护可避免副反应,待肽链组装完成后,再用强酸性条件TFA脱除 OtBu,实现谷氨酸残基的精准引入,尤其适用于含谷氨酸重复单元的多肽神经肽、抗菌肽等的合成。
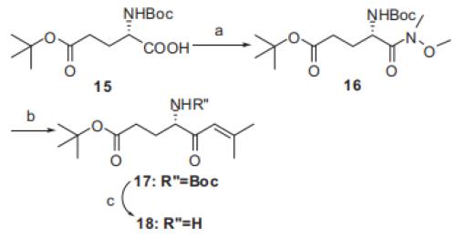
用于苯并萘啶生物碱全合成
叔丁氧羰基-L-谷氨酸-5-叔丁酯能够用于红树林来源苯并萘啶生物碱(1)的首次全合成,它是分离的微量新型二氮杂菲类生物碱。
以叔丁氧羰基-L-谷氨酸-5-叔丁酯为原料,与N,O - 二甲基羟胺盐酸盐在氯甲酸叔丁酯(ClCO₂tBu)、N - 甲基吗啉(NMM)的作用下,于-15℃至室温反应 2.5 小时,生成 Weinreb 酰胺(化合物 16),收率高达 96%。随后,将化合物 16 与 0.5M 的 2 - 甲基 - 1 - 丙烯基溴化镁 THF 溶液在 0℃反应 4 小时,得到含不饱和酮结构的中间体 17,收率 73%;最后,采用浓 H₂SO₄在乙酸叔丁酯中于 0℃选择性脱除 Boc 保护基,再经碳酸氢钠中和,得到关键手性胺中间体,收率 80%[1]。

图二 叔丁氧羰基-L-谷氨酸-5-叔丁酯合成苯并萘啶生物碱的路线
参考文献
[1]Tian C ,Jiao X ,Liu X , et al.First total synthesis and determination of the absolute configuration of 1- N -methyl-3-methylamino-[ N -butanoicacid-3-(9-methyl-8-propen-7-one)-amide]-benzo[ f ][1,7]naphthyridine-2-one, a novel benzonaphthyridine alkaloid[J].Tetrahedron Letters,2012,53(36):4892-4895.DOI:10.1016/j.tetlet.2012.07.011.