腰果酚是从腰果壳中提取的腰果壳油经脱羧提纯后的主要产物,是一种绿色的天然酚类,具有与苯酚类似的结构和化学性质,可以与甲醛进行缩合反应,同时,结构中间位上的长碳链使得腰果酚具有脂肪族化合物的柔性。因此采用腰果酚替代部分苯酚对酚醛树脂进行改性不仅可以改善树脂的脆性,还能显著降低成本,并具有良好的资源与环保优势。

反应机理
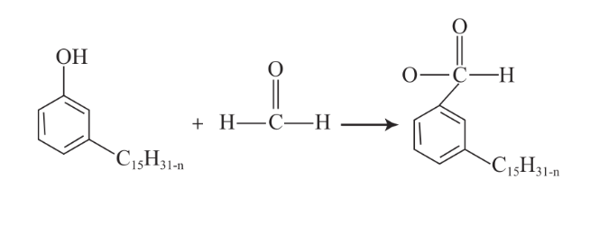
腰果酚固体树脂的合成属高分子聚合。它与甲醛在碱性催化剂作用下进行加成、缩聚合。具体步骤如下:首先是腰果酚与甲醛的加成反应,生成一元羟甲基腰果酚,在适当条件下,一元羟甲基腰果酚继续发生加成反应,生成二元或多元羟甲基腰果酚;第二步是缩聚合,随反应条件的不同可发生在羟甲基腰果酚与腰果酚分子之间,也可发生在各羟甲基腰果酚分子之间,最终形成具有一定相对分子质量的腰果酚固体树脂。缩聚合中,若腰果酚过量,醛与酚的摩尔比为2∶3,则不能产生足够的羟甲基,缩聚合达到一定阶段就会停止。反应结束时,得到的腰果酚固体树脂有不同的聚合度,其中,二聚物质量分数约占60%,三聚物质量分数约占20%,其余部分为多聚物。该反应过程中,物料配比是腰果酚过量而甲醛量不足,反应终结后,蒸发和排出的是少量的水,整个生产过程中不会对环境造成污染。腰果酚与甲醛加成与缩聚合过程见下式:

生产工艺
腰果酚固体树脂的生产采用间歇式常压合成法,反应开始时,原料溶液为均相体系,当腰果酚缩合物相对分子质量达到一定程度后,反应体系转为非均相,相对分子质量的增长主要是在树脂相中进行的。腰果酚固体树脂的生产工艺流程示意见下图:

性能特点
以腰果壳为原料生产的腰果酚固体树脂,初始分解温度为 309.5℃,远高于普通酚醛树脂的初始分解温度(200.0℃),其耐温性能优于普通酚醛树脂,可作为基本化工原料合成多种黏合剂。与酚醛树脂相比,腰果酚固体树脂的柔韧性、耐热性、耐磨性等均有较明显的提高,可大幅改善产品的综合性能,且生产过程无污染物排放,属环保类新产品;而传统的酚醛树脂在生产过程中会产生大量废水,不严格处理会对环境水质造成污染。