背景技术
4,4'-二氨基二苯甲酮,简称DABP,黄色或棕色固体,分子式:C13H12N2O,相对分子量:212.25,熔点:243-247℃,CAS号:611-98-3。

4,4'-二氨基二苯甲酮既可作为医药中间体合成药物分子,又可作为二胺单体合成聚酰胺和聚酰亚胺材料。另外,由于其特有的分子结构,也常用于研究共价有机框架材料和有机发光材料。目前,合成4,4'-二氨基二苯甲酮的方法主要为以乙酰基保护的苯胺为原料,与甲醛反应生成N,N'-二乙酰胺基二苯基甲烷,然后酸性条件用铬酸酐氧化亚甲基生成N,N'-二乙酰胺基二苯甲酮,最后酸性条件下脱乙酰基生成产物。其中在氧化过程中,不但反应生成大量含重金属铬的废水,对环境造成污染,而且铬酸酐本身为一类致癌物质,对生产操作要求较高。还有一些其它合成路线报道,如以二苯基乙酸甲酯或1,1,1-三氯-2,2-二苯基乙烷或二苯基甲烷为原料,经硝酸硝化、铬酸酐氧化、还原硝基三步得到产品;以4,4'-二氯二苯甲烷为原料,经铬酸酐氧化、铜催化氨解反应得到产物。此类反应大都使用相似反应过程,需要铬酸酐氧化,且原料更不易得到。
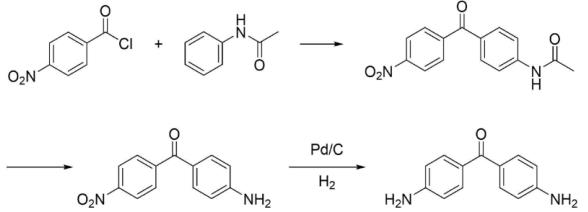
合成方法[1]
步骤(1):向2L反应瓶中加入N-乙酰苯胺(50.0g,0.370mol)、对硝基苯甲酰氯(75.5g,0.407mol)及600mL二氯甲烷,0~5℃下,边搅拌边分批加入三氯化铝(59.2g,0.444mol),约0.5小时加完。升温至40°C搅拌6h,HPLC中控反应结束,降至室温。缓慢加入200mL的12%稀盐酸。室温搅拌20min,静置分层,分出有机相,水相加入约100mL二氯甲烷萃取两次。合并有机相加入饱和碳酸钠水溶液洗涤两次,减压蒸馏除去溶剂得淡黄色油状物。加入乙醇重结晶得100.8g淡黄色固体中间体(I)4-乙酰胺-4'-硝基二苯甲酮,纯度99.3%(HPLC)。步骤(1)摩尔收率:95.9%(以N-乙酰苯胺计算)。
步骤(2):将步骤(1)得到的中间体(I)4-乙酰胺-4'-硝基二苯甲酮(95.0g,0.334mol)、37%浓盐酸237mL和甲醇250mL加入1L反应瓶中,回流反应4小时,HPLC中控反应结束,降至室温。减压蒸馏除去甲醇,残液加入氢氧化钠水溶液调节pH值至7~8,大量固体析出。过滤,滤饼用去离子水淋洗,真空干燥得78.6g淡黄色固体中间体(II)4-氨基-4’-硝基二苯甲酮,纯度99.0%(HPLC)。步骤(2)摩尔收率:97.1%。
步骤(3):将步骤(2)得到的中间体(II)4-氨基-4'-硝基二苯甲酮(75.0g,0.310mol),500mL乙醇和1.50g的3%钯炭加入1压力反应釜中。氮气和氢气各置换3次,0.8MPa、70℃下反应约6小时至不吸氢,保温保压约30分钟。泄压,开釜过滤除去催化剂。滤液降至室温,大量黄色晶体析出,过滤,滤饼使用少量乙醇淋洗,湿品60℃真空干燥8小时,得4,4'-二氨基二苯甲酮为亮黄色固体最终成品63.3g,步骤(3)摩尔收率:96.3%,三步总摩尔收率为:89.6%。

参考文献
[1]大连新阳光材料科技有限公司. 一种4,4'-二氨基二苯甲酮的制备方法:CN202310751466.4[P]. 2023-10-20.