环十二酮分子式为C12H22O,为无色固体,熔点59℃,沸点126~128℃(1.6kPa),密度0.9059g/mL(4℃),折光率1.4571(60℃),闪点120℃。环十二酮同时具备一般环酮和大环的反应特性,其具有一些小环、中环所不具有的特殊反应性。作为廉价易得的石油化工产品,环十二酮不仅是生产工业原料尼龙-12的主要原料,还是许多大环化合物的合成前体。目前,环十二酮广泛用于合成农药、大环内酯类香料和麝香类化合物,同时在材料化学和其他方面也有应用。许多香料都是从天然产物中提取而来,这些香料大都具有大环的结构特点,而这些大环化合物许多都可以从环十二酮衍生而得或经扩环反应制得。比如,香料工业中非常重要的麝香酮、十五内酯等都可以从环十二酮扩环制得。因此,环十二酮在香料工业中有着极为重要的应用。
合成应用[1]
1、以环十二酮为原料合成麝香酮
麝香酮,又名3-甲基环十五酮,可以分为两类:一类是消旋的麝香酮,即(±)-麝香酮,另一类是天然的麝香酮,即(R)-(-)-麝香酮。最早用环十二酮合成消旋麝香酮的是Suginome等。他们用碘化亚钐处理2-(1-碘代异丁基)-环十二酮,获得双环化合物,后者的稠和键经自由基反应断裂后形成十五元环,再经还原得到消旋的麝香酮。

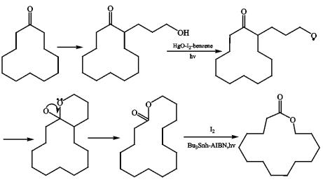
2、以环十二酮为原料合成环十五内酯
十五内酯具有麝香的香味,广泛用于高级香水、化妆品香精配方中,也作为优良的定香剂应用于部分高级日用香精中。十五内酯大都可以以环十二酮以及其衍生物为原料,经扩环反应而制得。Yamada等利用分子内自由基反应,以环十二酮为起始原料进行扩环,方便地得到了十五内酯,具体反应步骤如图。

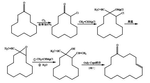
3、以环十二酮为原料合成5-环十六烯酮
5-环十六烯酮为油状液体,具有强烈的、接近天然麝香的香气,留香极为持久,化学性能稳定,主要作为定香剂应用于高级化妆品香精、香皂香精、香水香精和香脂等日用香精中。5-环十六烯酮的制备方法如下:向环十二酮的甲醇溶液中通入氯气得到氯代环十二酮,后用格氏试剂进行二乙烯基化,水解后得到二乙烯基环十二醇,接着在加热的条件下进行Oxly-Cope转位重排反应即可制得。

参考文献
[1] 赵其波. 环十二酮在香料合成中的应用研究[J]. 香料香精化妆品,2010(4):37-40. DOI:10.3969/j.issn.1000-4475.2010.04.011.