二氧化钒新闻专题
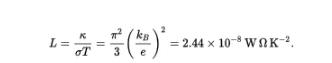
研究发现二氧化钒超低热导率,“打破”物理定律!
二氧化钒是一种具有相变性质的金属氧化物,其相变温度为67℃左右,在达到相变温度时可以从绝缘体变化为金属,相变前后其对红外光可产生由透射向反射的可逆转变。
2021/6/8 15:48:32
阅读量:1398
二氧化钒——未来电子业的革命性材料
二氧化钒(VO2)是一种强关联电子体系二元氧化物,由于其内部电子、轨道、晶格和自旋的强相互作用,外界微小刺激引起的局域电子和晶体结构的变化即可诱导VO2发生可逆的金属-绝缘体相变。伴随相变,VO2的晶体结构、电阻、红外光透过率、折射率和磁化率等发生急剧的变化。正是因为VO2近室温的相变温度和相变前后物理化学性质的突变,使其在电子、军事、日常生活等方面具有非常广泛的应用前景。
2020/4/10 17:04:50
阅读量:4051
四氧化二钒的应用研究
四氧化二钒吸引了众多研究者的注意原因在于它在68℃发生金属-半导体相变。低温条件下,四氧化二钒在可见光、红外光、射频波段及微波波段具有很高的透过率,但在高温下,四氧化二钒能强烈地减弱所有波段的电磁波的透过率。
2020/3/4 13:45:09
阅读量:1551
