>网站主页 >> 2-二环己基磷-2'-甲基联苯 >> 新闻信息汇总

2-二环己基磷-2'-甲基联苯新闻专题

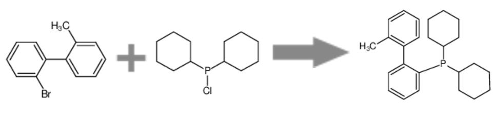
2-二环己基磷-2'-甲基联苯的性质、应用及制备
2-二环己基磷-2'-甲基联苯的性质、应用及制备
2-二环己基磷-2'-甲基联苯是由联苯衍生的一种有机磷化合物。作为配体,用于Buchwald, Suzuki等偶联反应中, 以及环加成反应中。
2025/3/10 9:23:30 阅读量:283