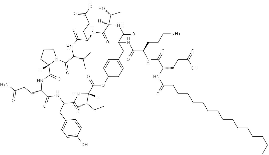
L-Isoleucine, N-(1-oxohexadecyl)-L-α-glutamyl-D-ornithyltyrosyl-D-allothreonyl-L-α-glutamyl-D-valyl-L-prolyl-L-glutaminyltyrosyl-, (10→3)-lactone (9CI)
| | 193738-78-2 Basic information More.. |
| Product Name: | L-Isoleucine, N-(1-oxohexadecyl)-L-α-glutamyl-D-ornithyltyrosyl-D-allothreonyl-L-α-glutamyl-D-valyl-L-prolyl-L-glutaminyltyrosyl-, (10→3)-lactone (9CI) | | Synonyms: | L-Isoleucine, N-(1-oxohexadecyl)-L-α-glutamyl-D-ornithyltyrosyl-D-allothreonyl-L-α-glutamyl-D-valyl-L-prolyl-L-glutaminyltyrosyl-, (10→3)-lactone (9CI);L-Isoleucine, N-(1-oxohexadecyl)-L-α-glutamyl-D-ornithyltyrosyl-D-allothreonyl-L-α-glutamyl-D-valyl-L-prolyl-L-glutaminyltyrosyl-, (10→3)-lactone;SNA 60-367-18 | | CAS: | 193738-78-2 | | MF: | C74H114N12O19 | | MW: | 1475.77 | | EINECS: | | | Mol File: | 193738-78-2.mol |  |
|
|
193738-78-2
Recommend Suppliers |
1
|
| Tag:
193738-78-2
|