| | 223539-69-3 Basic information More.. |
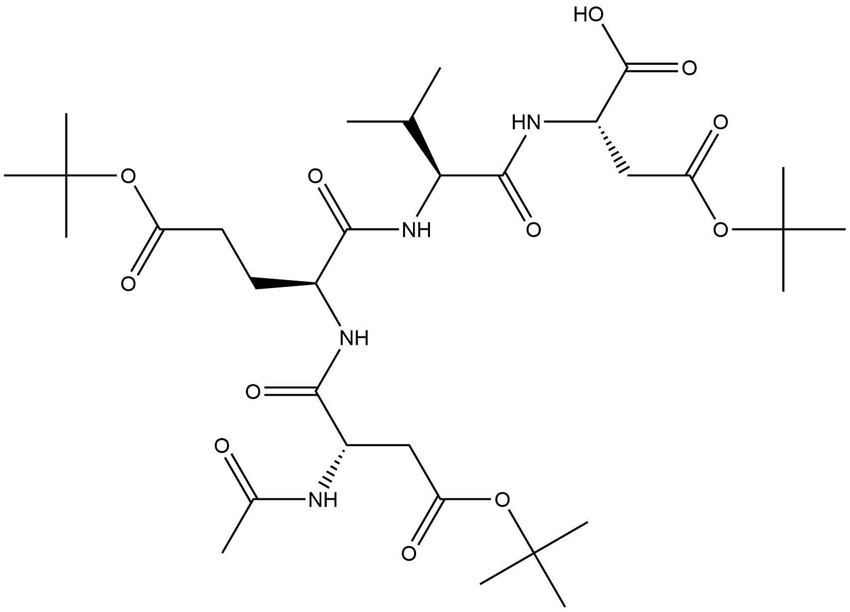
| Product Name: | L-Aspartic acid, N-acetyl-L-α-aspartyl-L-α-glutamyl-L-valyl-, 1,2,44-tris(1,1-dimethylethyl) ester | | Synonyms: | L-Aspartic acid, N-acetyl-L-α-aspartyl-L-α-glutamyl-L-valyl-, 1,2,44-tris(1,1-dimethylethyl) ester;(2S,5S,8S,11S)-11-acetamido-2-(2-(tert-butoxy)-2-oxoethyl)-8-(3-(tert-butoxy)-3-oxopropyl)-5-isopropyl-15,15-dimethyl-4,7,10,13-tetraoxo-14-oxa-3,6,9-triazahexadecanoic acid | | CAS: | 223539-69-3 | | MF: | C32H54N4O12 | | MW: | 686.79 | | EINECS: | | | Mol File: | 223539-69-3.mol |  |
|
|
223539-69-3
Recommend Suppliers |
1
|