| | 106597-71-1 Basic information More.. |
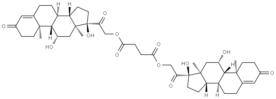
| Product Name: | Pregn-4-ene-3,20-dione, 21,21'-(1,4-dioxo-1,4-butanediyl)bis(oxy)]bis[11,17-dihydroxy- | | Synonyms: | Pregn-4-ene-3,20-dione, 21,21'-(1,4-dioxo-1,4-butanediyl)bis(oxy)]bis[11,17-dihydroxy-;Hydrocortisone hydrogen succinate Impurity 2 | | CAS: | 106597-71-1 | | MF: | C46H62O12 | | MW: | 806.98 | | EINECS: | | | Mol File: | 106597-71-1.mol |  |
|
|
106597-71-1
Recommend Suppliers |
1
|