| | 254757-77-2 Basic information More.. |
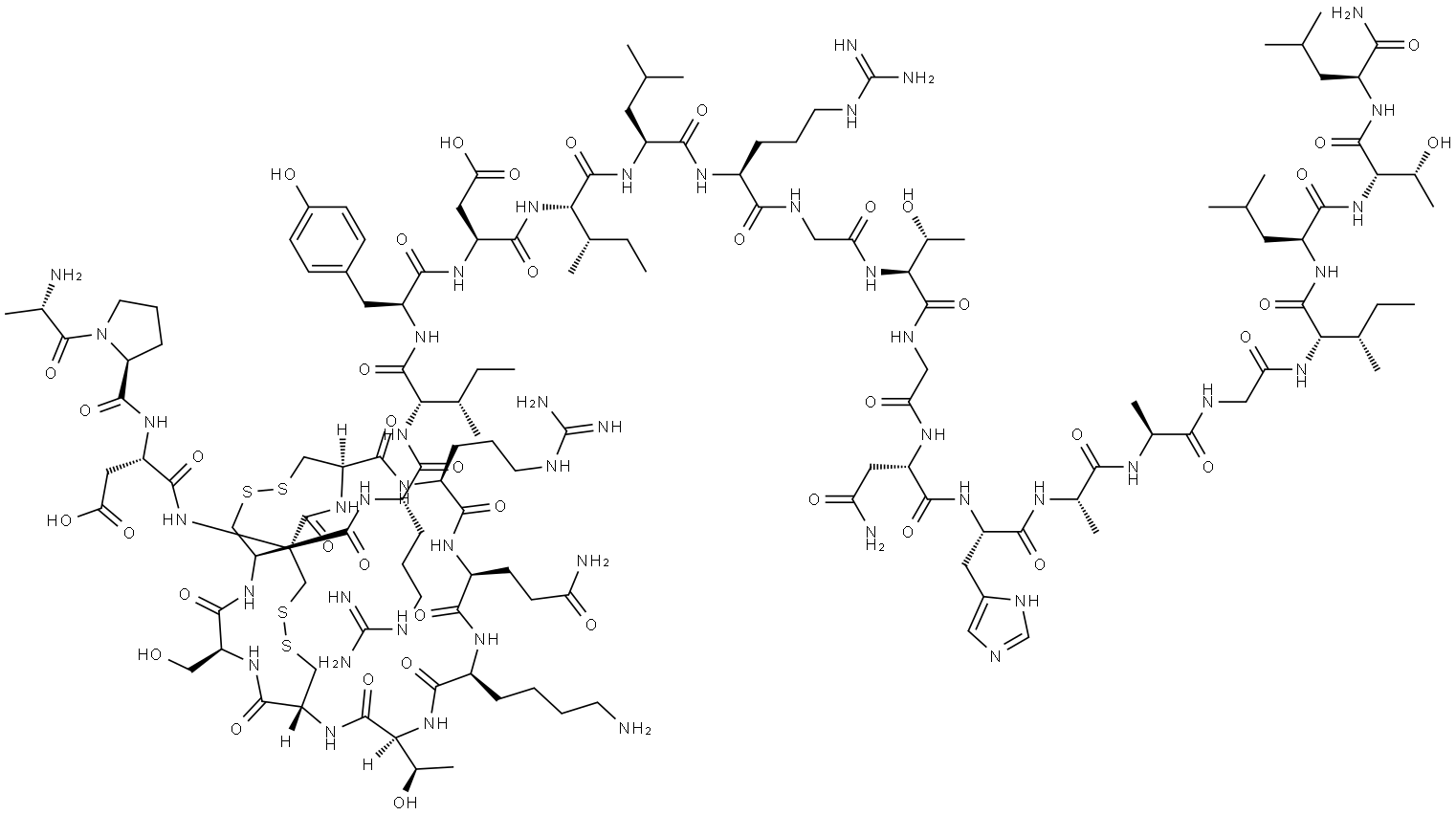
| Product Name: | Xenopus orexin A | | Synonyms: | Xenopus orexin A;L-Leucinamide, L-alanyl-L-prolyl-L-α-aspartyl-L-cysteinyl-L-cysteinyl-L-arginyl-L-glutaminyl-L-lysyl-L-threonyl-L-cysteinyl-L-seryl-L-cysteinyl-L-arginyl-L-isoleucyl-L-tyrosyl-L-α-aspartyl-L-isoleucyl-L-leucyl-L-arginylglycyl-L-threonylglycyl-L-asparaginyl-L-histidyl-L-alanyl-L-alanylglycyl-L-isoleucyl-L-leucyl-L-threonyl-, cyclic (4→10),(5→12)-bis(disulfide) | | CAS: | 254757-77-2 | | MF: | | | MW: | 3345.87 | | EINECS: | | | Mol File: | 254757-77-2.mol |  |
|
|
254757-77-2
Recommend Suppliers |
1
|