| | 35482-91-8 Basic information More.. |
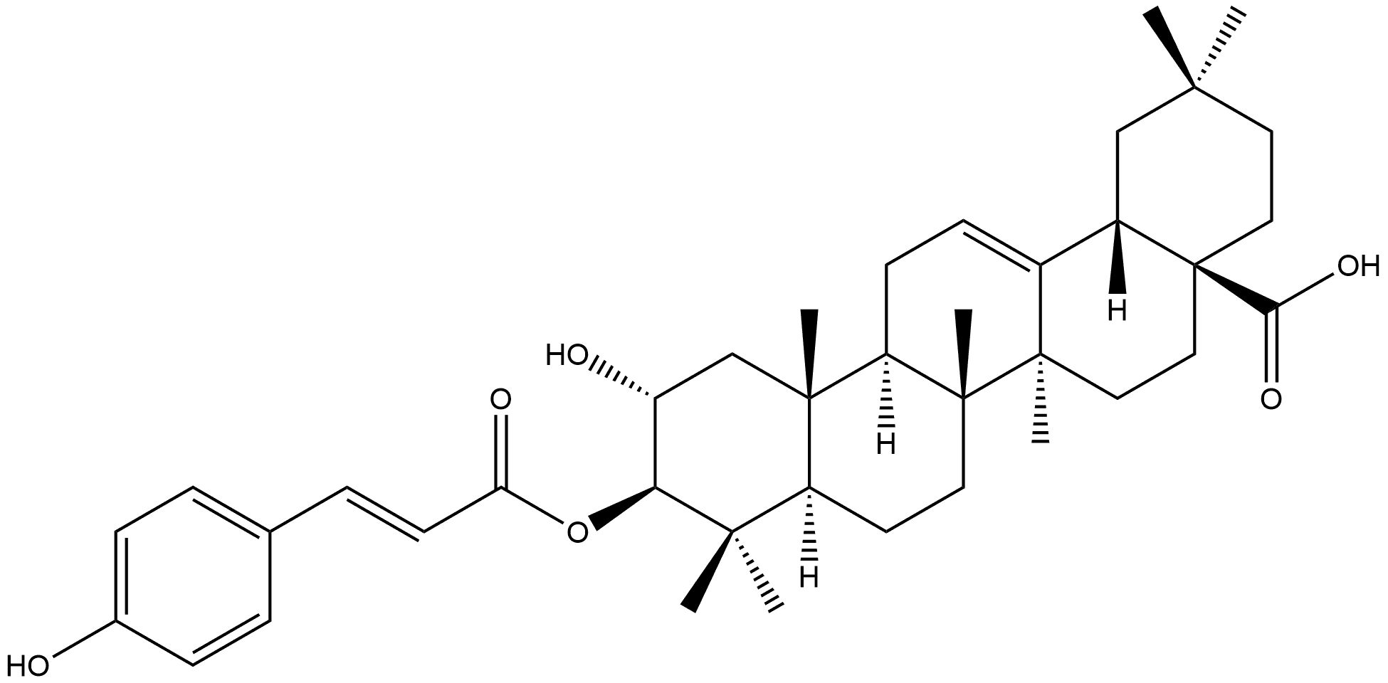
| Product Name: | 3-beta-O-(trans-p-Coumaroyl)maslinic acid | | Synonyms: | 3beta-O-(trans-p-Coumaroyl)-2alpha-hydroxyolean-12-en-28-oic acid;3-beta-O-(trans-p-Coumaroyl)maslinic acid;3β-O-(trans-p-Coumaroyl)maslinic acid;3-O-trans-Cumaroylmaslininsaeure;Olean-12-en-28-oic acid, 2-hydroxy-3-[[(2E)-3-(4-hydroxyphenyl)-1-oxo-2-propen-1-yl]oxy]-, (2α,3β)-;3-O-trans-p-Coumaroylmaslinicacid/3β-O-(trans-p-Coumaroyl)maslinicacid | | CAS: | 35482-91-8 | | MF: | C39H54O6 | | MW: | 618.84 | | EINECS: | | | Mol File: | Mol File |  |
|
|
35482-91-8 Recommend
Suppliers |
|
|
Recommend You Select Member Companies. |
|
1
|