| | 85175-54-8 Basic information More.. |
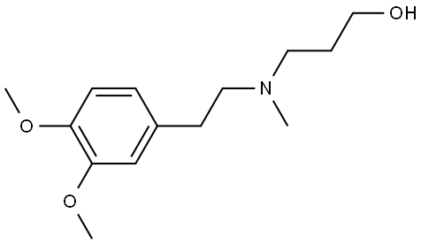
| Product Name: | verapamil impurities956 | | Synonyms: | verapamil impurities 3;1-Propanol, 3-[[2-(3,4-dimethoxyphenyl)ethyl]methylamino]-;verapamil impurities956 | | CAS: | 85175-54-8 | | MF: | C14H23NO3 | | MW: | 253.34 | | EINECS: | | | Mol File: | Mol File |  |
|
|
85175-54-8 Recommend
Suppliers |
|
|
Recommend You Select Member Companies. |
|
1
|