| | 2096999-45-8 Basic information More.. |
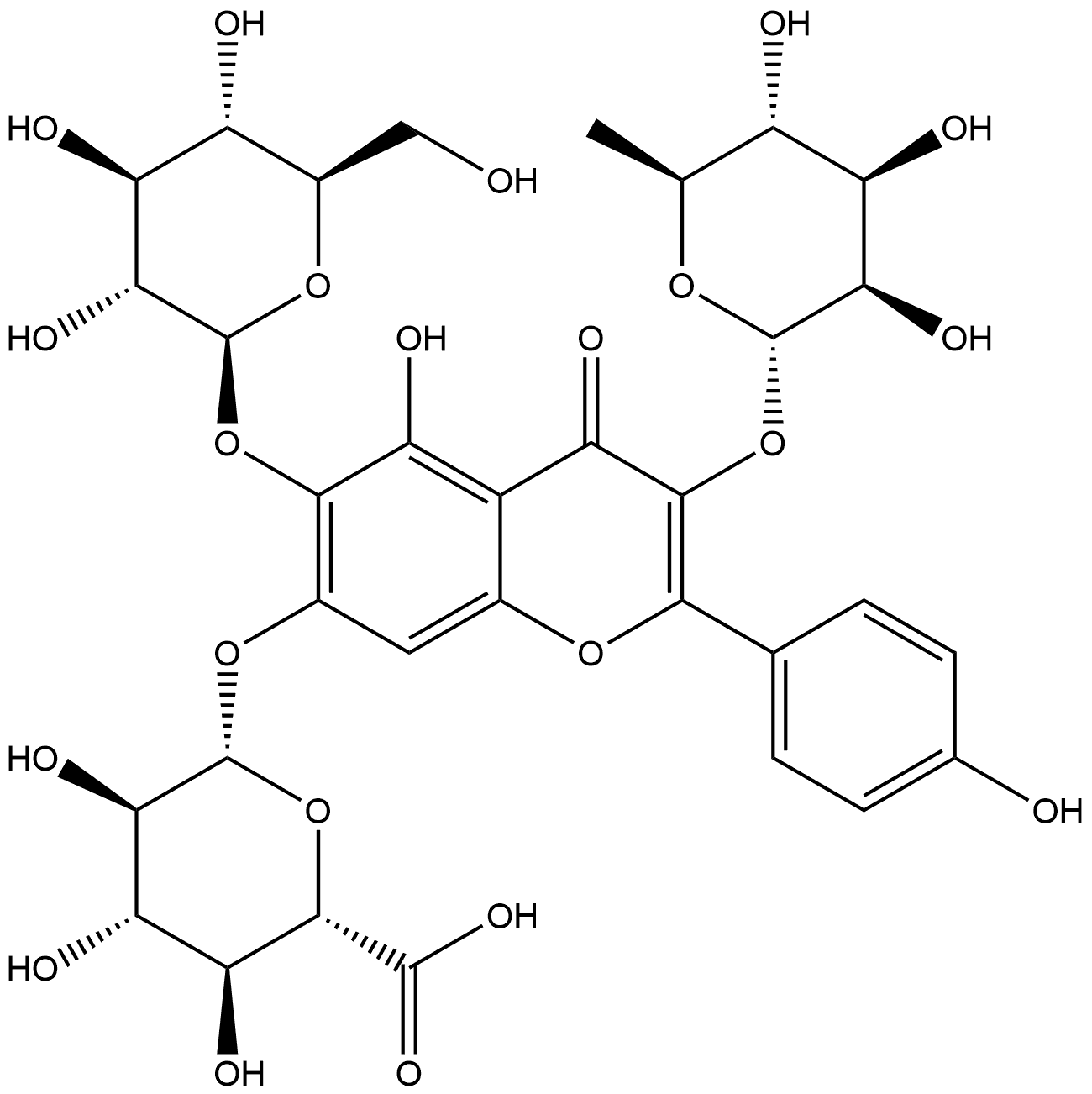
| Product Name: | β-D-Glucopyranosiduronic acid, 3-[(6-deoxy-α-L-mannopyranosyl)oxy]-6-(β-D-glucopyranosyloxy)-5-hydroxy-2-(4-hydroxyphenyl)-4-oxo-4H-1-benzopyran-7-yl | | Synonyms: | β-D-Glucopyranosiduronic acid, 3-[(6-deoxy-α-L-mannopyranosyl)oxy]-6-(β-D-glucopyranosyloxy)-5-hydroxy-2-(4-hydroxyphenyl)-4-oxo-4H-1-benzopyran-7-yl;6-Hydroxykaempferol-3-O-α-L-rhamnoside-6-O-β-D-glucoside-7-O-β-D-glucuronide | | CAS: | 2096999-45-8 | | MF: | C33H38O22 | | MW: | 786.64 | | EINECS: | | | Mol File: | Mol File |  |
|
|
2096999-45-8 Recommend
Suppliers |
|
|
Recommend You Select Member Companies. |
|
1
|