| | 130756-11-5 Basic information More.. |
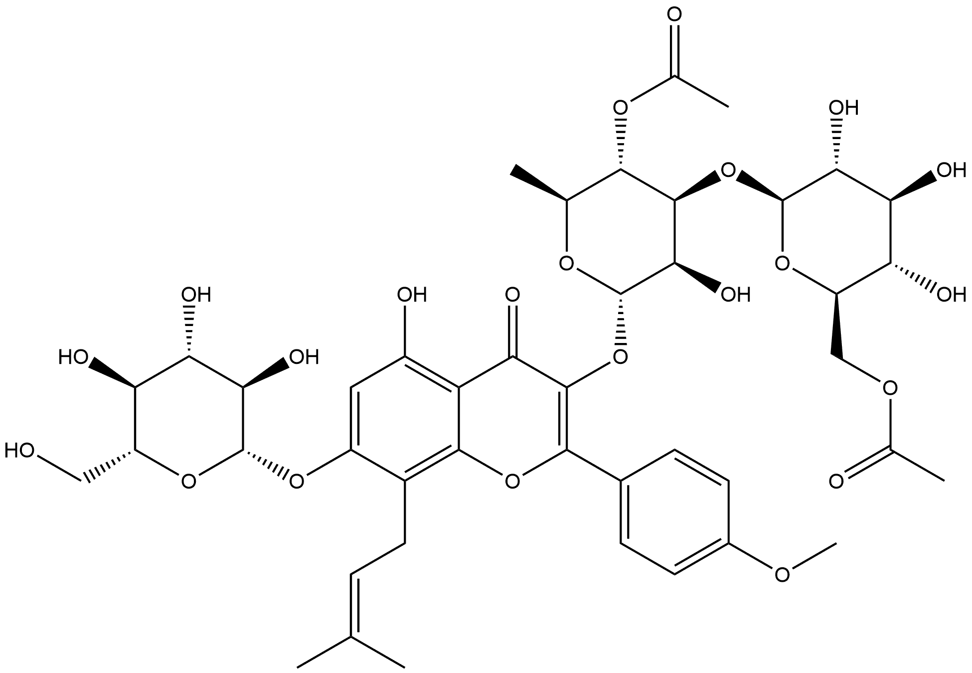
| Product Name: | 4H-1-Benzopyran-4-one, 3-[[4-O-acetyl-3-O-(6-O-acetyl-β-D-glucopyranosyl)-6-deoxy-α-L-mannopyranosyl]oxy]-7-(β-D-glucopyranosyloxy)-5-hydroxy-2-(4-methoxyphenyl)-8-(3-methyl-2-buten-1-yl)- | | Synonyms: | 4H-1-Benzopyran-4-one, 3-[[4-O-acetyl-3-O-(6-O-acetyl-β-D-glucopyranosyl)-6-deoxy-α-L-mannopyranosyl]oxy]-7-(β-D-glucopyranosyloxy)-5-hydroxy-2-(4-methoxyphenyl)-8-(3-methyl-2-buten-1-yl)- | | CAS: | 130756-11-5 | | MF: | C43H54O22 | | MW: | 922.88 | | EINECS: | | | Mol File: | Mol File |  |
|
|
130756-11-5 Recommend
Suppliers |
|
|
Recommend You Select Member Companies. |
|
1
|