| | 2244048-22-2 Basic information More.. |
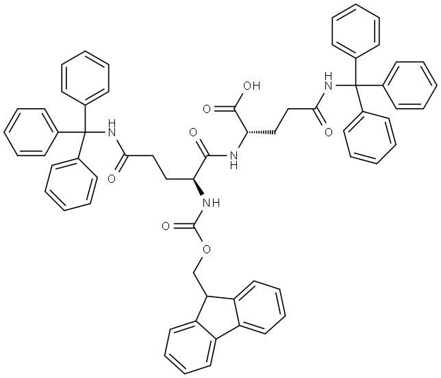
| Product Name: | (2S)-2-[(2S)-2-({[(9H-fluoren-9-yl)methoxy]carbonyl}amino)-4-[(triphenylmethyl)carbamoyl]butanamido]-4-[(triphenylmethyl)carbamoyl]butanoic acid | | Synonyms: | (2S)-2-[(2S)-2-({[(9H-fluoren-9-yl)methoxy]carbonyl}amino)-4-[(triphenylmethyl)carbamoyl]butanamido]-4-[(triphenylmethyl)carbamoyl]butanoic acid;Acetylcysteine Impurity 75 | | CAS: | 2244048-22-2 | | MF: | C63H56N4O7 | | MW: | 981.14 | | EINECS: | | | Mol File: | Mol File |  |
|
|
2244048-22-2 Recommend
Suppliers |
|
|
Recommend You Select Member Companies. |
|
1
|