| | 95456-56-7 Basic information More.. |
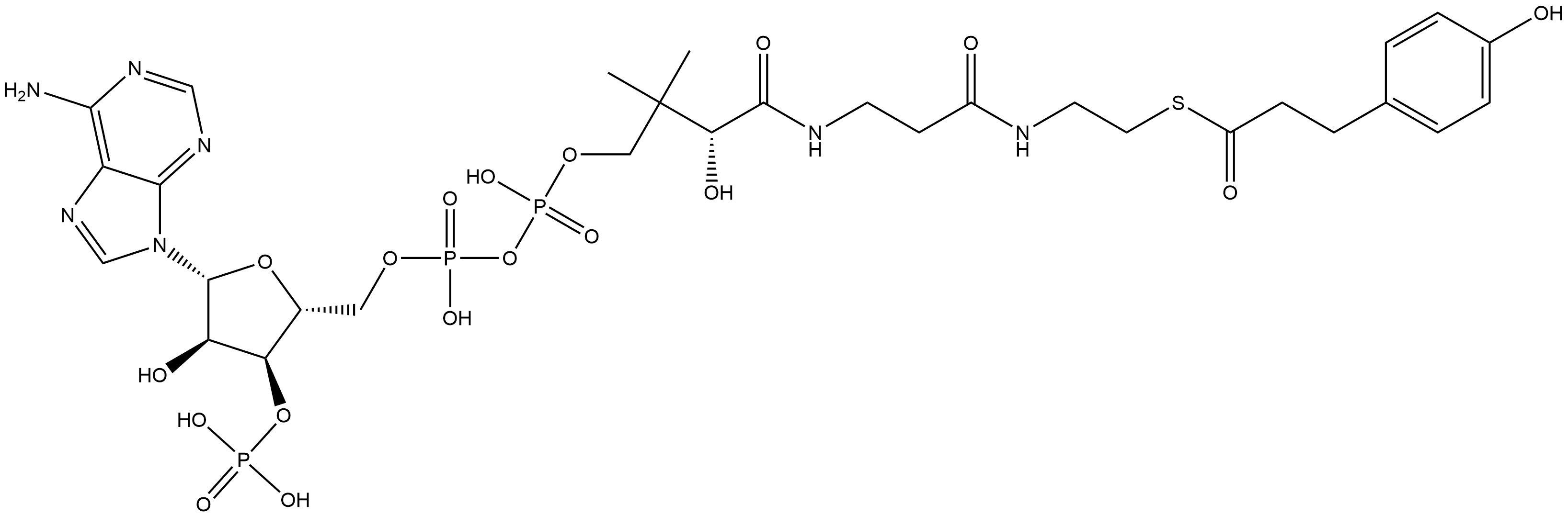
| Product Name: | Coenzyme A, S-(4-hydroxybenzenepropanoate) | | Synonyms: | Coenzyme A, S-(4-hydroxybenzenepropanoate) | | CAS: | 95456-56-7 | | MF: | C30H44N7O18P3S | | MW: | 915.69 | | EINECS: | | | Mol File: | Mol File |  |
|
|
95456-56-7 Recommend
Suppliers |
|
|
Recommend You Select Member Companies. |
|
1
|