| | 2366151-13-3 Basic information More.. |
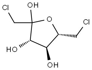
| Product Name: | Sucralose EP Impurity H (Mixture of Isomers) | | Synonyms: | Sucralose EP Impurity H (Mixture of Isomers);Sucralose EP Impurity HQ: What is
Sucralose EP Impurity H Q: What is the CAS Number of
Sucralose EP Impurity H;Sucralose Impurity 8 (Sucralose EP Impurity H) | | CAS: | 2366151-13-3 | | MF: | C6H10Cl2O4 | | MW: | 217.05 | | EINECS: | | | Mol File: | Mol File |  |
|
|
2366151-13-3 Recommend
Suppliers |
|
|
Recommend You Select Member Companies. |
|
1
|