| | 110543-50-5 Basic information More.. |
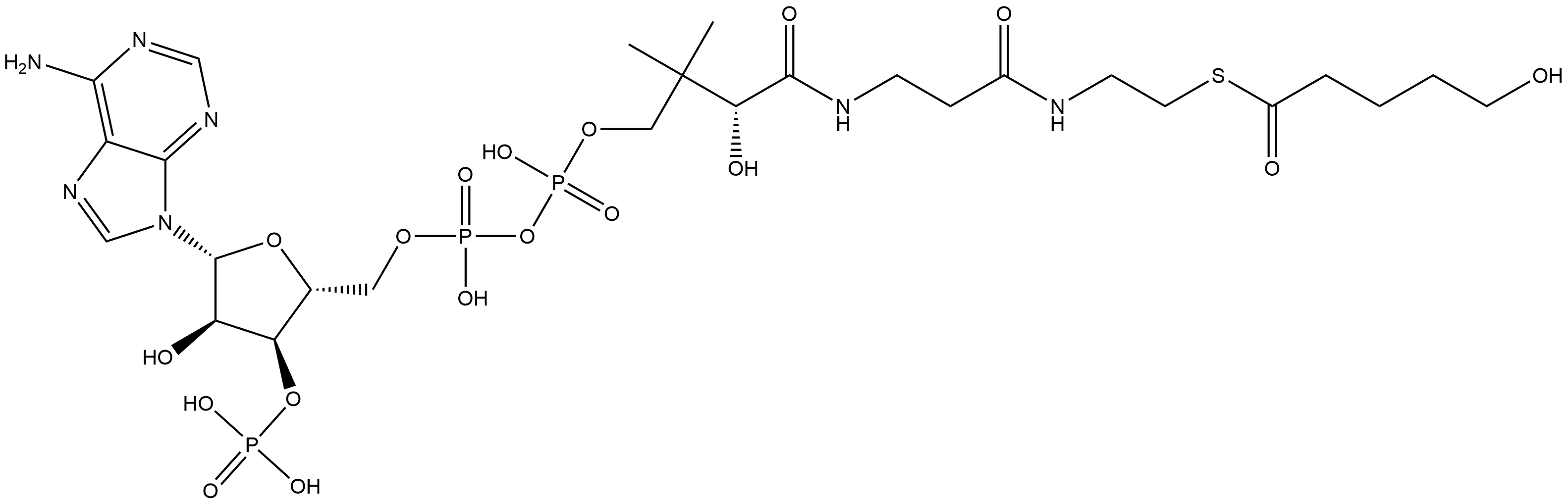
| Product Name: | Coenzyme A, S-(5-hydroxypentanoate) | | Synonyms: | Coenzyme A, S-(5-hydroxypentanoate);5-Hydroxypentanoyl-CoA | | CAS: | 110543-50-5 | | MF: | C26H44N7O18P3S | | MW: | 867.65 | | EINECS: | | | Mol File: | Mol File |  |
|
|
110543-50-5 Recommend
Suppliers |
|
|
Recommend You Select Member Companies. |
|
1
|