| | 134933-17-8 Basic information More.. |
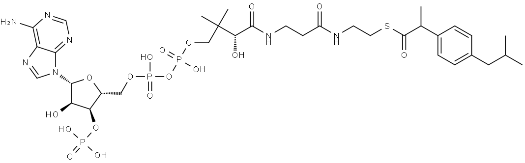
| Product Name: | S-[α-methyl-4-(2-methylpropyl)benzeneacetate]-CoA | | Synonyms: | S-[α-methyl-4-(2-methylpropyl)benzeneacetate]-CoA;Coenzyme A, S-[α-methyl-4-(2-methylpropyl)benzeneacetate] | | CAS: | 134933-17-8 | | MF: | C34H52N7O17P3S | | MW: | 955.8 | | EINECS: | | | Mol File: | Mol File |  |
|
|
134933-17-8 Recommend
Suppliers |
|
|
Recommend You Select Member Companies. |
|
1
|