| 116425-97-9 Basic information More.. |
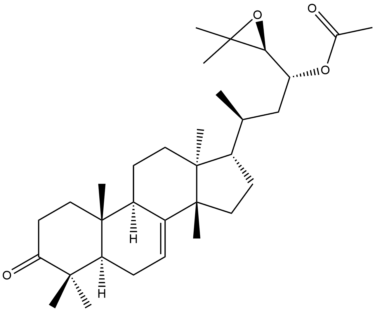
Product Name: | Lanost-7-en-3-one, 23-(acetyloxy)-24,25-epoxy-, (13α,14β,17α,20S,23R,24S)- | Synonyms: | Lanost-7-en-3-one, 23-(acetyloxy)-24,25-epoxy-, (13α,14β,17α,20S,23R,24S)- | CAS: | 116425-97-9 | MF: | C32H50O4 | MW: | 498.74 | EINECS: | | Mol File: | Mol File |  |
|
116425-97-9 Recommend
Suppliers |
|
|
Recommend You Select Member Companies. |
|
1
|