| | 60731-52-4 Basic information More.. |
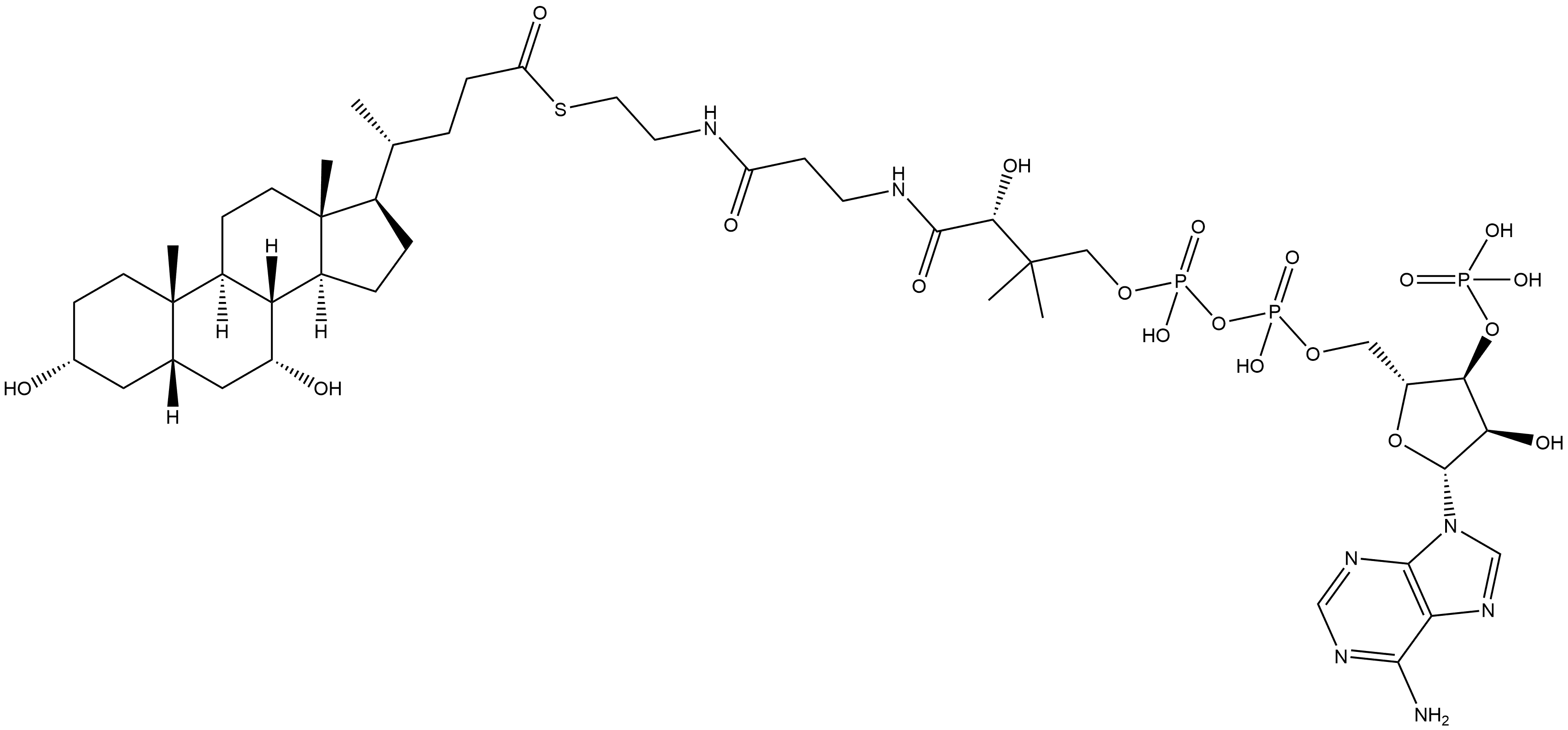
| Product Name: | Cholane-24-thioic acid, 3,7-dihydroxy-, S-ester with coenzyme A, (3α,5β,7α)- | | Synonyms: | Cholane-24-thioic acid, 3,7-dihydroxy-, S-ester with coenzyme A, (3α,5β,7α)-;Chenodeoxycholyl-CoAAbsolute stereochemistry;Chenodeoxycholyl-CoA | | CAS: | 60731-52-4 | | MF: | C45H74N7O19P3S | | MW: | 1142.09 | | EINECS: | | | Mol File: | Mol File |  |
|
|
60731-52-4 Recommend
Suppliers |
|
|
Recommend You Select Member Companies. |
|
1
|