| | 117249-46-4 Basic information More.. |
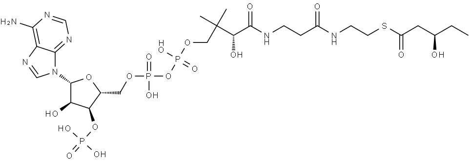
| Product Name: | D-3-Hydroxyvaleryl-CoA | | Synonyms: | D-3-Hydroxyvaleryl-CoA;Coenzyme A, S-[(3R)-3-hydroxypentanoate] | | CAS: | 117249-46-4 | | MF: | C26H44N7O18P3S | | MW: | 867.65 | | EINECS: | | | Mol File: | Mol File |  |
|
|
117249-46-4 Recommend
Suppliers |
|
|
Recommend You Select Member Companies. |
|
1
|