| | 251369-47-8 Basic information More.. |
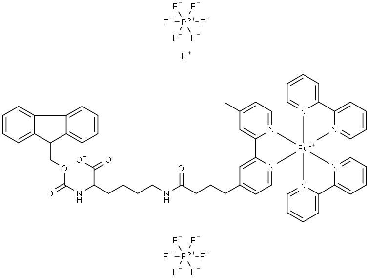
| Product Name: | Fmoc-Lys(Tris(2,2'-bipyridyl) ruthenium)-OH | | Synonyms: | Fmoc-Lys(Tris(2,2'-bipyridyl) ruthenium)-OH;Ruthenium(1+), bis(2,2′-bipyridine-κN1,κN1′)[N2-[(9H-fluoren-9-ylmethoxy)carbonyl]-N6-[4-(4′-methyl[2,2′-bipyridin]-4-yl-κN1,κN1′)-1-oxobutyl]-L-lysinato]-, (OC-6-33)-, hexafluorophosphate(1-), mono[hexafluorophosphate(1-)] | | CAS: | 251369-47-8 | | MF: | C56H53N8O5Ru.F6P.F6P.H | | MW: | 1310.07 | | EINECS: | | | Mol File: | Mol File |  |
|
|
251369-47-8 Recommend
Suppliers |
|
|
Recommend You Select Member Companies. |
|
1
|