| | 288325-12-2 Basic information More.. |
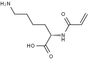
| Product Name: | acryloyl-L-lysine | | Synonyms: | acryloyl-L-lysine;L-Lysine, N2-(1-oxo-2-propen-1-yl)-, homopolymer | | CAS: | 288325-12-2 | | MF: | (C9H16N2O3)x | | MW: | 200.24 | | EINECS: | | | Mol File: | Mol File |  |
|
|
288325-12-2 Recommend
Suppliers |
|
|
Recommend You Select Member Companies. |
|
1
|