| | 883746-83-6 Basic information More.. |
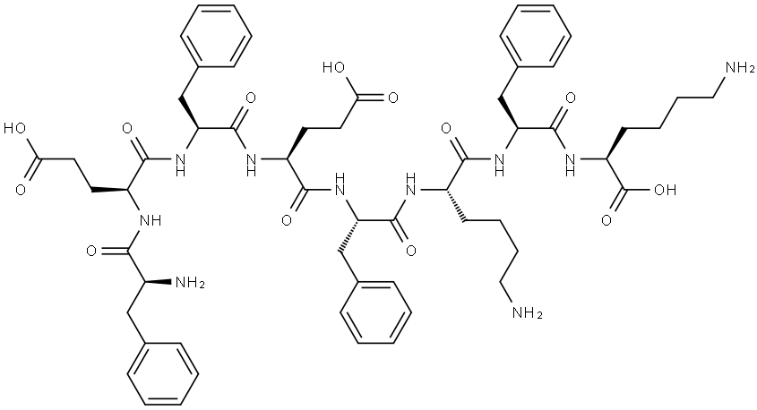
| Product Name: | FEFEFKFK | | Synonyms: | FEFEFKFK;L-Lysine, L-phenylalanyl-L-α-glutamyl-L-phenylalanyl-L-α-glutamyl-L-phenylalanyl-L-lysyl-L-phenylalanyl- | | CAS: | 883746-83-6 | | MF: | C58H76N10O13 | | MW: | 1121.29 | | EINECS: | | | Mol File: | Mol File |  |
|
|
883746-83-6 Recommend
Suppliers |
|
|
Recommend You Select Member Companies. |
|
1
|