| | 35559-63-8 Basic information More.. |
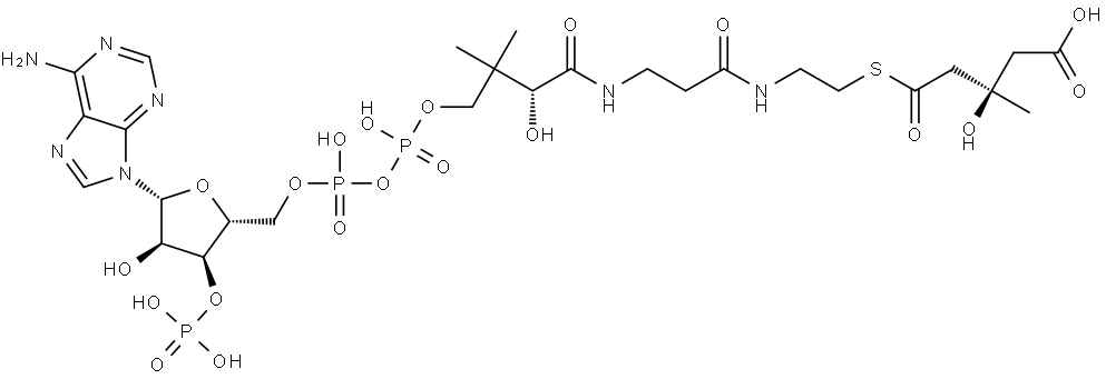
| Product Name: | (R)-3-Hydroxy-3-methylglutaryl-CoA | | Synonyms: | (R)-3-Hydroxy-3-methylglutaryl-CoA;Coenzyme A, S-[hydrogen (3R)-3-hydroxy-3-methylpentanedioate] | | CAS: | 35559-63-8 | | MF: | C27H44N7O20P3S | | MW: | 911.66 | | EINECS: | | | Mol File: | Mol File |  |
|
|
35559-63-8 Recommend
Suppliers |
|
|
Recommend You Select Member Companies. |
|
1
|