| | 105567-78-0 Basic information More.. |
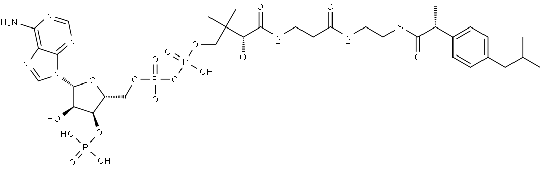
| Product Name: | Coenzyme A, S-[(αR)-α-methyl-4-(2-methylpropyl)benzeneacetate] | | Synonyms: | Coenzyme A, S-[(αR)-α-methyl-4-(2-methylpropyl)benzeneacetate];Coenzyme A, S-[α-methyl-4-(2-methylpropyl)benzeneacetate], (R)-;S-[(αR)-α-methyl-4-(2-methylpropyl)benzeneacetate]-CoA | | CAS: | 105567-78-0 | | MF: | C34H52N7O17P3S | | MW: | 955.8 | | EINECS: | | | Mol File: | Mol File |  |
|
|
105567-78-0 Recommend
Suppliers |
|
|
Recommend You Select Member Companies. |
|
1
|