| | 2719051-84-8 Basic information More.. |
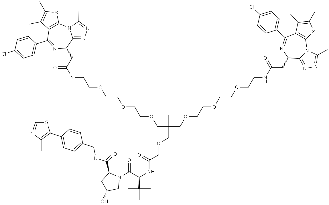
| Product Name: | (2S,4R)-1-[(2S)-2-[[2-[3-[2-[2-[2-[[2-[(9S)-7-(4-chlorophenyl)-4,5,13-trimethyl-3-thia-1,8,11,12-tetrazatricyclo[8.3.0.02,6]trideca-2(6),4,7,10,12-pentaen-9-yl]acetyl]amino]ethoxy]ethoxy]ethoxy]-2-[2-[2-[2-[[2-[(9S)-7-(4-chlorophenyl)-4,5,13-trimethyl-3-thia-1,8,11,12-tetrazatricyclo[8.3.0.02,6]trideca-2(6),4,7,10,12-pentaen-9-yl]acetyl]amino]ethoxy]ethoxy]ethoxymethyl]-2-methylpropoxy]acetyl]amino]-3,3-dimethylbutanoyl]-4-hydroxy-N-[[4-(4-methyl-1,3-thiazol-5-yl)phenyl]methyl]pyrrolidine-2-carboxamide | | Synonyms: | (2S,4R)-1-[(2S)-2-[[2-[3-[2-[2-[2-[[2-[(9S)-7-(4-chlorophenyl)-4,5,13-trimethyl-3-thia-1,8,11,12-tetrazatricyclo[8.3.0.02,6]trideca-2(6),4,7,10,12-pentaen-9-yl]acetyl]amino]ethoxy]ethoxy]ethoxy]-2-[2-[2-[2-[[2-[(9S)-7-(4-chlorophenyl)-4,5,13-trimethyl-3-thia-1,8,11,12-tetrazatricyclo[8.3.0.02,6]trideca-2(6),4,7,10,12-pentaen-9-yl]acetyl]amino]ethoxy]ethoxy]ethoxymethyl]-2-methylpropoxy]acetyl]amino]-3,3-dimethylbutanoyl]-4-hydroxy-N-[[4-(4-methyl-1,3-thiazol-5-yl)phenyl]methyl]pyrrolidine-2-carboxamide;N,N'-(11-((2-(((S)-1-((2S,4R)-4-hydroxy-2-((4-(4-methylthiazol-5-yl)benzyl)carbamoyl)pyrrolidin-1-yl)- 3,3-dimethyl-1-oxobutan-2-yl)amino)-2-oxoethoxy)methyl)-11-methyl-3,6,9,13,16,19- hexaoxahenicosane-1,21-diyl)bis(2-((S)-4-(4-chlorophenyl)-2,3,9-trimethyl-6H-thieno[3,2- f][1,2,4]triazolo[4,3-a][1,4]diazepin-6-yl)acetamide) | | CAS: | 2719051-84-8 | | MF: | C79H98Cl2N14O13S3 | | MW: | 1618.82 | | EINECS: | | | Mol File: | Mol File |  |
|
|
2719051-84-8 Recommend
Suppliers |
|
|
Recommend You Select Member Companies. |
|
1
|