| Company Name: |
Chengdu Push Bio-Technology Co., Ltd.
|
| Tel: |
028-028-85370565-229-229 18080489829 |
| Email: |
3004654993@qq.com |
| Products Intro: |
Product Name:Spinasaponin E CAS:2867584-02-7 Purity:98.0%(HPLC) Package:5mg
|
|
| | Spinasaponin E Basic information |
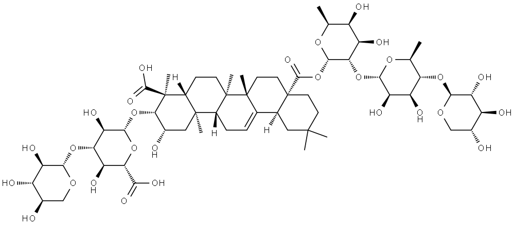
| Product Name: | Spinasaponin E | | Synonyms: | Spinasaponin E;Olean-12-ene-23,28-dioic acid, 2-hydroxy-3-[(3-O-β-D-xylopyranosyl-β-D-glucopyranuronosyl)oxy]-, 28-(O-β-D-xylopyranosyl-(1→4)-O-6-deoxy-α-L-mannopyranosyl-(1→2)-6-deoxy-α-L-galactopyranosyl) ester, (2β,3β,4α)- | | CAS: | 2867584-02-7 | | MF: | C58H90O28 | | MW: | 1235.32 | | EINECS: | | | Product Categories: | | | Mol File: | 2867584-02-7.mol |  |
| | Spinasaponin E Chemical Properties |
| density | 1.549±0.10 g/cm3(Temp: 25 °C; Press: 760 Torr)(predicted) | | pka | 2.746±0.70(predicted) |
| | Spinasaponin E Usage And Synthesis |
| Uses | Spinasaponin E is a compound and can be used for inflammatory disease research[1]. | | References | [1] Novel compound isolated from spinach, and composition comprising same for preventing or treating inflammatory diseases. Patent WO2022250322. |
| | Spinasaponin E Preparation Products And Raw materials |
|