|
|
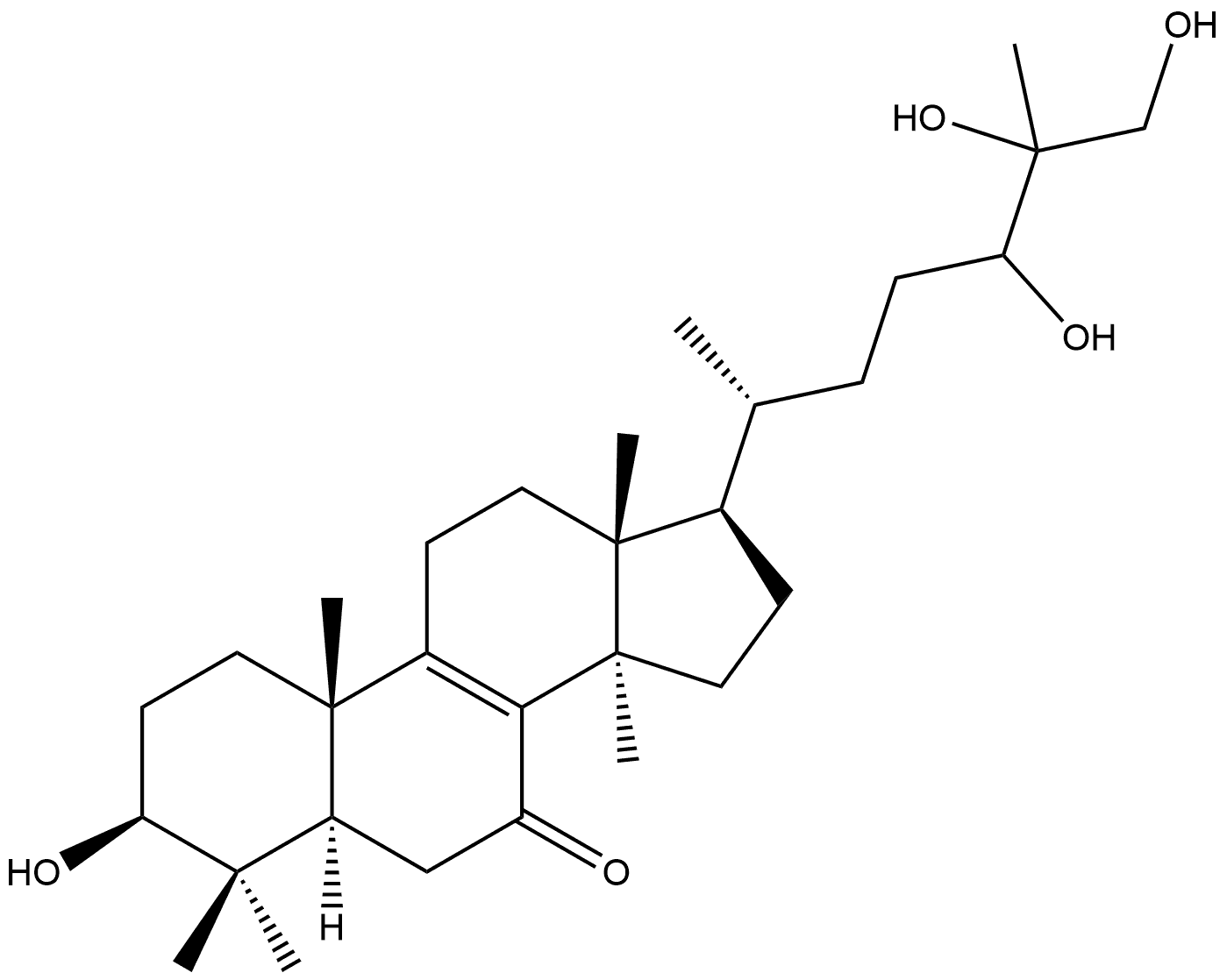
| | Lanost-8-en-7-one, 3,24,25,26-tetrahydroxy-, (3β)- Basic information |
| Product Name: | Lanost-8-en-7-one, 3,24,25,26-tetrahydroxy-, (3β)- | | Synonyms: | Lanost-8-en-7-one, 3,24,25,26-tetrahydroxy-, (3β)- | | CAS: | 114612-72-5 | | MF: | C30H50O5 | | MW: | 490.71 | | EINECS: | | | Product Categories: | | | Mol File: | 114612-72-5.mol |  |
| | Lanost-8-en-7-one, 3,24,25,26-tetrahydroxy-, (3β)- Chemical Properties |
| Boiling point | 641.6±55.0 °C(Predicted) | | density | 1.14±0.1 g/cm3(Predicted) | | pka | 13.86±0.29(Predicted) |
| | Lanost-8-en-7-one, 3,24,25,26-tetrahydroxy-, (3β)- Usage And Synthesis |
| Definition | ChEBI: Ganoderiol H is a triterpenoid. |
| | Lanost-8-en-7-one, 3,24,25,26-tetrahydroxy-, (3β)- Preparation Products And Raw materials |
|