Product Details
| Product Name: Bis(1,2,2,6,6-pentamethyl-4-piperidyl) sebacate | CAS No.: 41556-26-7 |
| Min. Order: 25KG | Purity: 96 |
| Supply Ability: 20 TONS | Release date: 2025/10/13 |
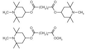
【Chemical Name】Bis(1,2,2,6,6-pentamethyl-4-piperidyl) sebacate
Methyl 1,2,2,6,6-pentamethyl-4-piperidyl sebacate
【CAS NO】41556-26-7,82919-37-7
【Molecular Formula】C30H56N2O4,C21H39NO4
【Molecular Weight】509,370
【Structure】
Specification
TEST | UNIT | SPECIFICATION |
APPEARANCE | LIGHT YELLOW LIQUID | |
ASSAY | % | 96.00MIN |
METHYL SIBILATE | % | 15.00-25.00 |
BIS SIBILATE | % | 75.00-85.00 |
VOLATILES | % | 0.50MAX |
ASH | % | 0.10MAX |
CLARITY | CLEAR | |
TRANSMITTANCE | ||
425nm | % | 98.00MIN |
500nm | % | 99.00MIN |
Application
* TRUELICHT LS292 is a low molecular hindered amine light stabilizer (HALS),which is effective in a broad range of plastics and coatings. Plastic applications include polyurethanes, flexible PVC, styrenic polymers (ABS, ASA), acrylics,unsaturated polyesters, elastomers, adhesives, and sealants. The product is also ideal for use in plastisols and liquid masterbatches for plastics.
-Coatings applications include refinish coatings, industrial coatings, coil coatings,wood coatings, trade sale paints, and radiation curable acrylics. The product issuitable for use in both water- and solvent-based coating systems.
-Polyurethane application, TRUELICHT LS292 can be used together with TRUELICHT UV 1 or TRUELICHT UV 571 to have synergistic effect
* TRUELICHT LS292 is soluble in most common organic solvent and compatible with many polymers
* For additional information please consult the Material safety Data Sheet
Packing:
25KG Drum, 600KG /Pallet
Storage
Keep container tightly closed and dry and storage in cool place
Declaration
Only for industrial usage, application in food and Medicine is prohibited.
The information in the application part is only for the reference of professional engineers. However, our Company does not make any form of explicit or implicit warranties or assume any responsibilities in relation to the accuracy, timeliness and completeness the application information on this material. It can not be regarded as a clause of the contract. All tests, applications should be conducted under the guidance of professionals.
Company Profile Introduction
You may like
Recommended supplier
| Product name | Price | Suppliers | Update time | |
|---|---|---|---|---|
| $0.00/1KG |
VIP2Y
|
Wuhan Fortuna Chemical Co.,Ltd
|
2025-07-24 | |
| $/ |
VIP5Y
|
RongNa Biotechnology Co.,Ltd
|
2025-04-29 | |
| $0.00/25kg |
Shanghai Tiandui New Material Co., Ltd
|
2025-01-03 | ||
| $50.00/1kg |
Hebei Zhuanglai Chemical Trading Co Ltd
|
2024-11-15 | ||
| $30.00/1KG |
Hebei Chuanghai Biotechnology Co., Ltd
|
2024-10-25 | ||
| $5.00/1KG |
VIP5Y
|
Hebei Chuanghai Biotechnology Co,.LTD
|
2024-08-22 | |
| $0.00/25Kg/Drum |
RIANLON CORPORATION
|
2021-12-28 | ||
| $15.00/1KG |
Zhuozhou Wenxi import and Export Co., Ltd
|
2021-07-11 | ||
| $0.00/20KG |
VIP7Y
|
QINGDAO JADE NEW MATERIAL TECNOLOGY CO.,LTD
|
2019-10-11 | |
| $1.00/1KG |
VIP8Y
|
Career Henan Chemical Co
|
2018-08-06 |
- Since: 2018-05-10
- Address: ROOM502,ENTRANCE1,BUILDING 102,NO.1373 WANGSHA ROAD,CHENGYANG DISTRICT,QINGDAO,SHANDONG PROVINCE
+86-13573844393
songjames@truelightchem.com

China