Welcome to chemicalbook!
+1 (818) 612-2111
RFQ
Try our best to find the right business for you.
Do not miss inquiry messages Please log in to view all inquiry messages.

Welcome back!

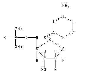
Back ChemicalBook Home>CAS DataBase List>13085-50-2More Spectrum> 2'-Deoxycytidine-5'-monophosphate disodium salt(13085-50-2) 1H NMR

13085-50-2

2'-Deoxycytidine-5'-monophosphate disodium salt(13085-50-2) 1H NMR

Molecular FormulaC9H12N3Na2O7P

Molecular Weight351.16

InChIInChI=1/C9H14N3O7P.2Na/c10-7-1-2-12(9(14)11-7)8-3-5(13)6(19-8)4-18-20(15,16)17;;/h1-2,5-6,8,13H,3-4H2,(H2,10,11,14)(H2,15,16,17);;/q;2*+1/p-2/t5-,6+,8+;;/s3

InChIKey IJFRULGDDRUYQN-BAJMBWAYNA-L

SmilesN1(C=CC(N)=NC1=O)[C@H]1C[C@H](O)[C@@H](COP([O-])([O-])=O)O1.[Na+].[Na+] |&1:8,10,12,r|

  • 2'-Deoxycytidine-5'-monophosphate disodium salt(13085-50-2) <sup>1</sup>H NMR

  • 2'-Deoxycytidine-5'-monophosphate disodium salt(13085-50-2) <sup>1</sup>H NMR


           ppm   Int.  Assign.
    166.66 385 1 158.11 365 2 142.42 742 3 97.08 783 4 86.79 428 P 5 86.35 1000 P 5 6 71.54 921 7 64.22 325 P 8 64.01 381 P 8 39.79 818 9
    Spectral Code: 13C NMR : in D2O

2'-Deoxycytidine-5'-monophosphate disodium salt(13085-50-2) 1H NMR Atlas of Related Products

×