Welcome to chemicalbook!
+1 (818) 612-2111
RFQ
Try our best to find the right business for you.
Do not miss inquiry messages Please log in to view all inquiry messages.

Welcome back!

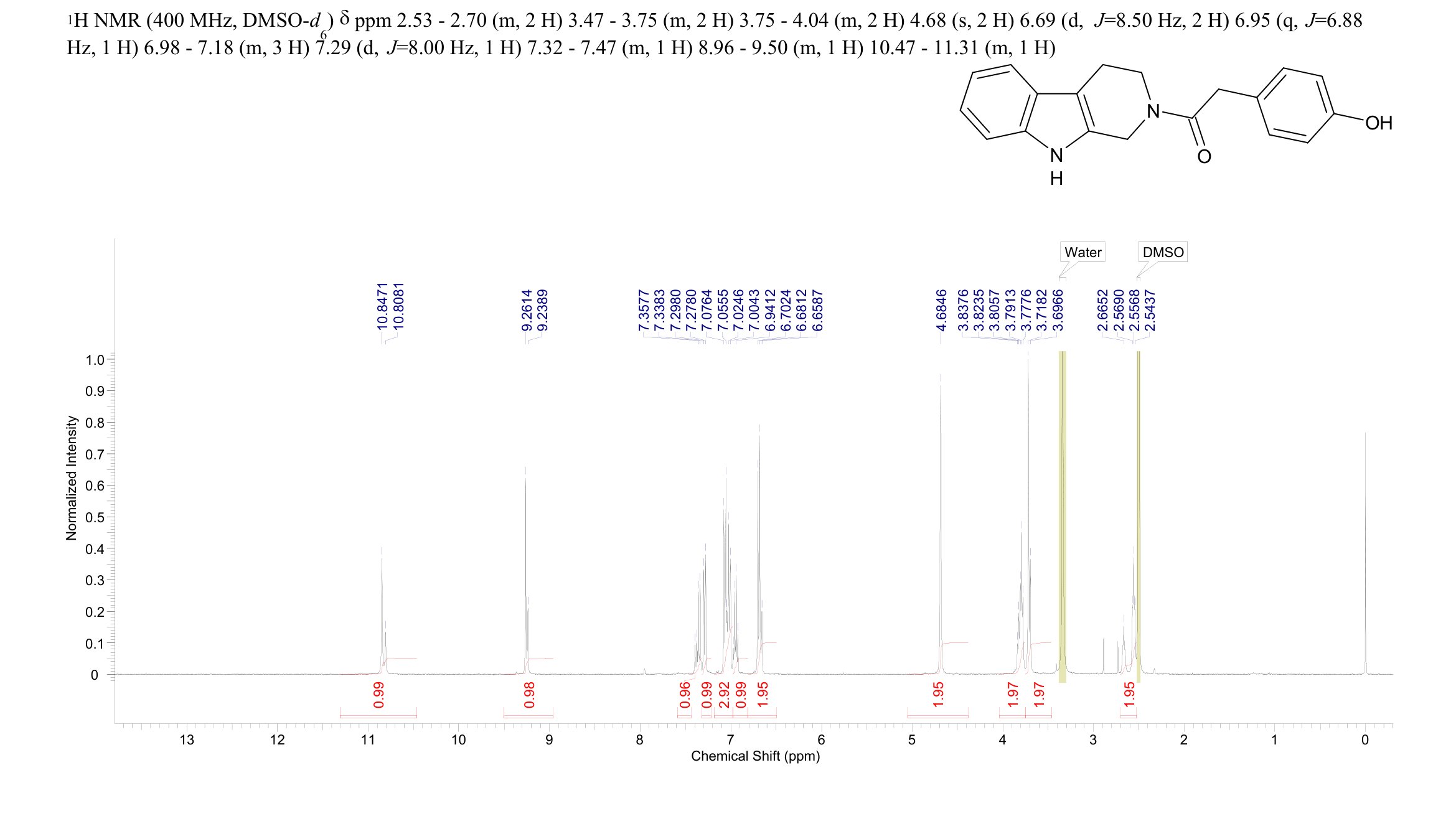
Back ChemicalBook Home>CAS DataBase List>1373764-75-0More Spectrum> Ethanone, 2-(4-hydroxyphenyl)-1-(1,3,4,9-tetrahydro-2H-pyrido[3,4-b]indol-2-yl)-(1373764-75-0) 1H NMR

1373764-75-0

Ethanone, 2-(4-hydroxyphenyl)-1-(1,3,4,9-tetrahydro-2H-pyrido[3,4-b]indol-2-yl)-(1373764-75-0) 1H NMR

Molecular FormulaC19H18N2O2

Molecular Weight306.36

Ethanone, 2-(4-hydroxyphenyl)-1-(1,3,4,9-tetrahydro-2H-pyrido[3,4-b]indol-2-yl)-(1373764-75-0) 1H NMR Atlas of Related Products

×