Welcome to chemicalbook!
+1 (818) 612-2111
RFQ
Try our best to find the right business for you.
Do not miss inquiry messages Please log in to view all inquiry messages.

Welcome back!

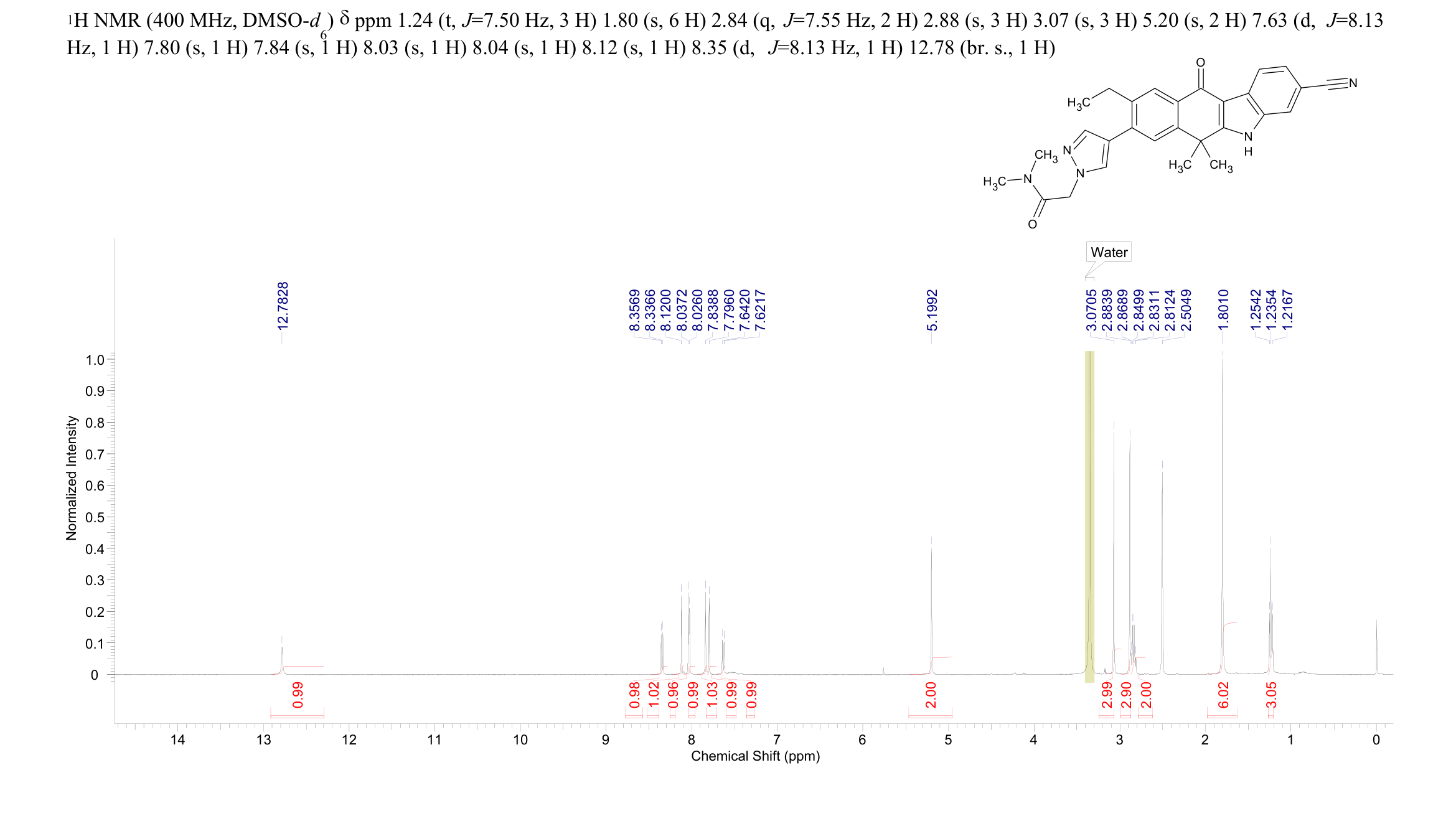
Back ChemicalBook Home>CAS DataBase List>1639422-97-1More Spectrum> JH-VIII-157-02(1639422-97-1) 1H NMR

1639422-97-1

JH-VIII-157-02(1639422-97-1) 1H NMR

Product NameJH-VIII-157-02

CAS1639422-97-1

Molecular FormulaC28H27N5O2

Molecular Weight465.55

JH-VIII-157-02(1639422-97-1) 1H NMR Atlas of Related Products

×