Welcome to chemicalbook!
+1 (818) 612-2111
RFQ
Try our best to find the right business for you.
Do not miss inquiry messages Please log in to view all inquiry messages.

Welcome back!

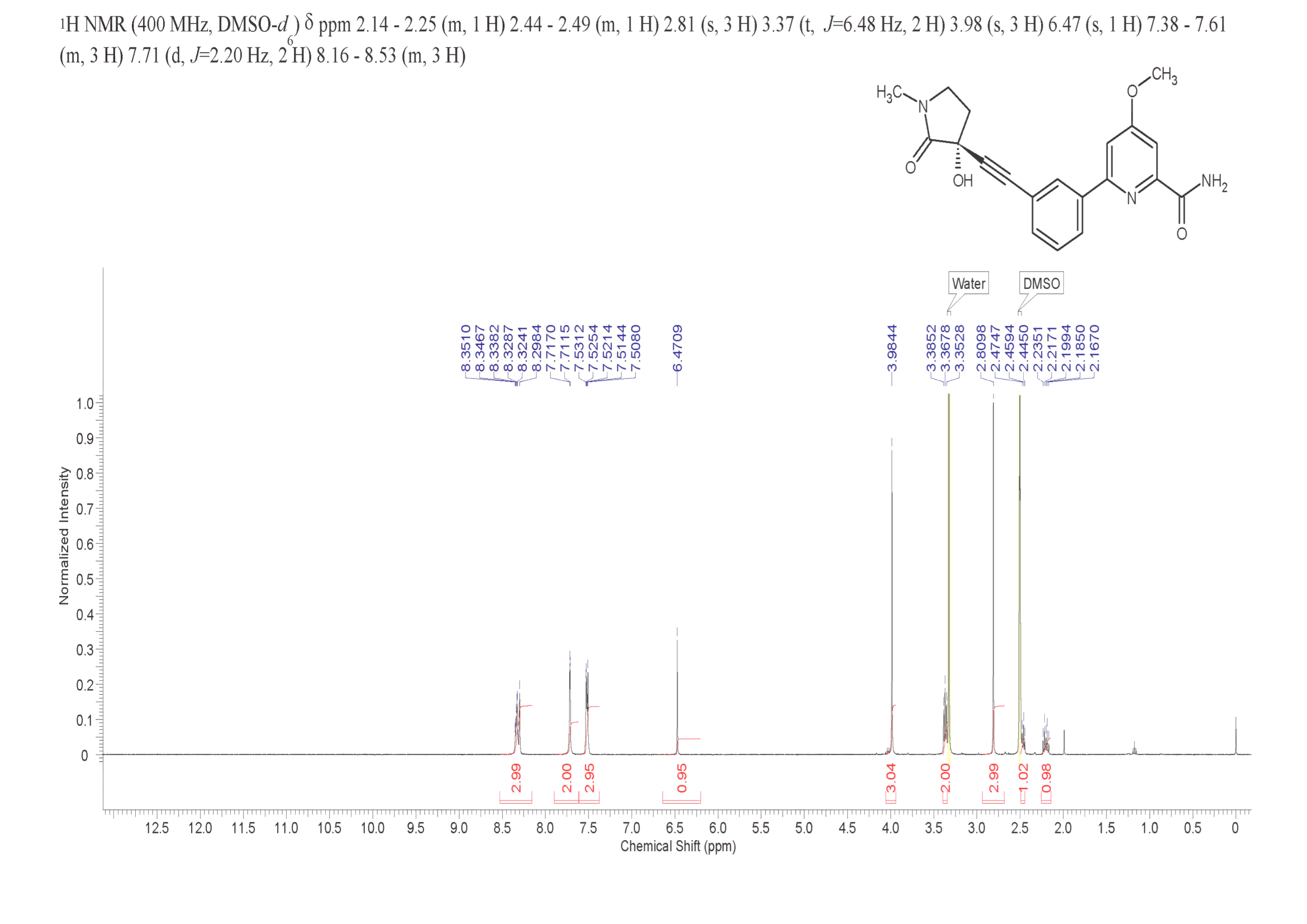
Back ChemicalBook Home>CAS DataBase List>1660114-31-7More Spectrum> NIK SMI1(1660114-31-7) 1H NMR

1660114-31-7

NIK SMI1(1660114-31-7) 1H NMR

Product NameNIK SMI1

CAS1660114-31-7

Molecular FormulaC20H19N3O4

Molecular Weight365.38

NIK SMI1(1660114-31-7) 1H NMR Atlas of Related Products

×