Welcome to chemicalbook!
+1 (818) 612-2111
RFQ
Try our best to find the right business for you.
Do not miss inquiry messages Please log in to view all inquiry messages.

Welcome back!

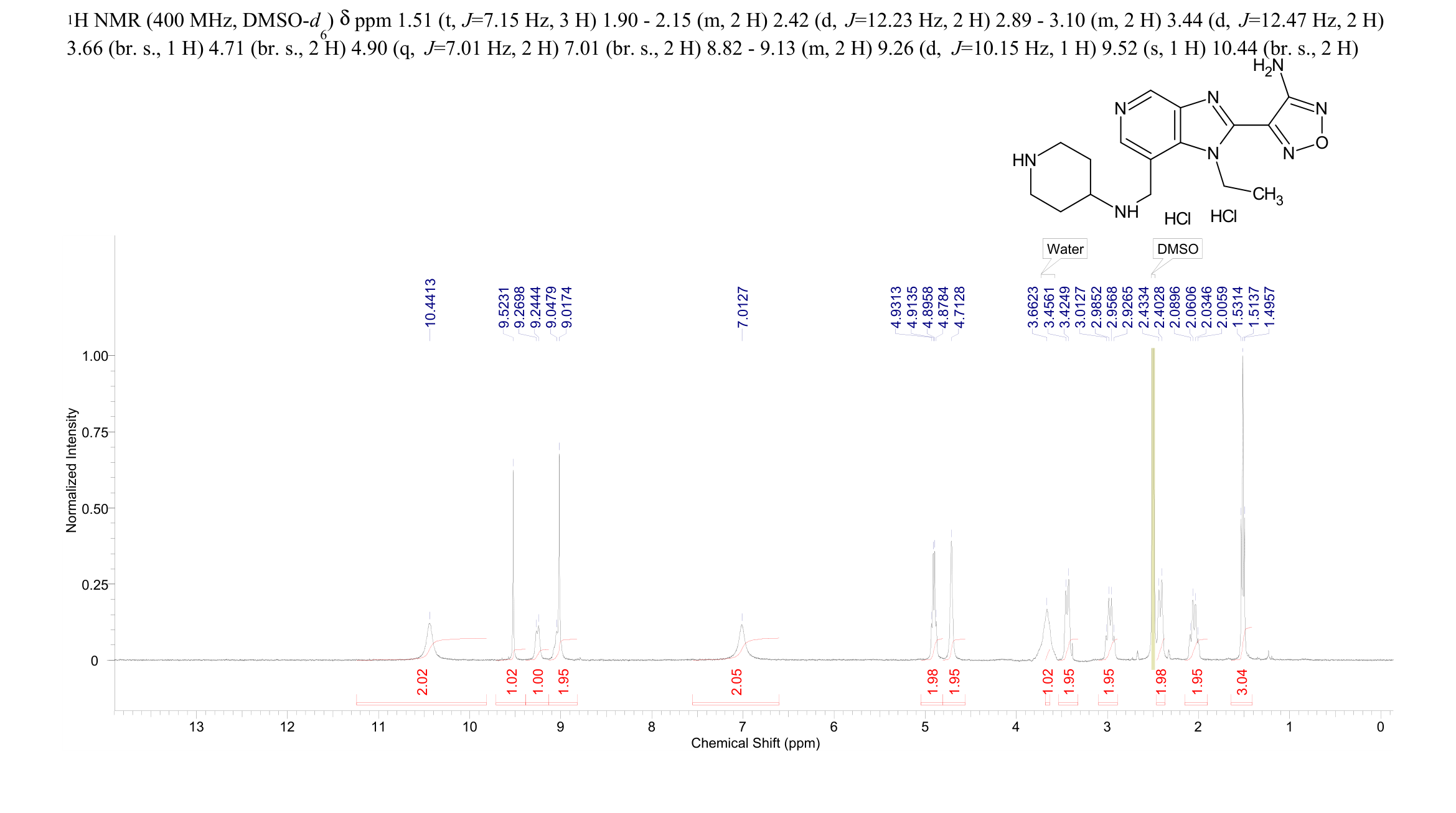
Back ChemicalBook Home>CAS DataBase List>1781882-72-1More Spectrum> SB 747651A dihydrochloride(1781882-72-1) 1H NMR

1781882-72-1

SB 747651A dihydrochloride(1781882-72-1) 1H NMR

Molecular FormulaC16H23ClN8O

Molecular Weight378.87

SB 747651A dihydrochloride(1781882-72-1) 1H NMR Atlas of Related Products

×