Product Name1,2-DI(1-NAPHTHYL)DISELANE
CAS1787-80-0
Molecular FormulaC20H14Se2
Molecular Weight412.25
InChIInChI=1S/C20H14Se2/c1-3-11-17-15(7-1)9-5-13-19(17)21-22-20-14-6-10-16-8-2-4-12-18(16)20/h1-14H
InChIKey XFUCRHYSJRXATP-UHFFFAOYSA-N
Smiles[Se](C1=C2C(C=CC=C2)=CC=C1)[Se]C1=C2C(C=CC=C2)=CC=C1
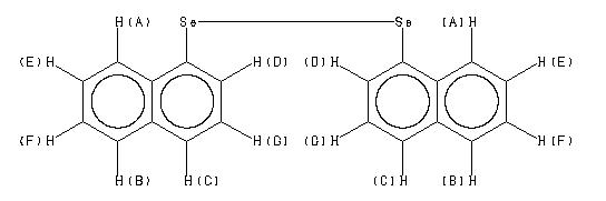
400 MHz in CDCl3

| 1H NMR | 399.65 MHz |
| C20 H14 Se2 | 0.041 g : 0.5 ml CDCl3 |
| di(1-naphthyl) diselenide | |
![]() |
Assign. Shift(ppm) |
Hz ppm Int.
3274.78 8.195 534 3274.17 8.193 526 3271.00 8.185 42 3266.36 8.174 580 3265.75 8.172 546 3118.29 7.803 502 3117.55 7.801 521 3116.94 7.800 535 3110.84 7.784 1000 3110.11 7.783 1000 3108.89 7.780 637 3103.03 7.765 686 3099.73 7.757 732 3098.63 7.754 684 3092.53 7.739 806 3091.43 7.736 673 2986.21 7.473 302 2984.99 7.470 330 2979.25 7.455 531 2978.03 7.452 701 2976.81 7.449 321 2974.37 7.443 44 2974.00 7.442 45 2971.19 7.435 482 2969.97 7.432 444 2958.74 7.404 492 2957.28 7.400 509 2951.90 7.387 341 2950.32 7.383 680 2948.97 7.379 485 2946.41 7.373 37 2943.48 7.366 307 2942.14 7.362 276 2897.95 7.252 709 2894.90 7.244 36 2893.80 7.241 48 2890.63 7.233 746 2889.77 7.231 768 2886.72 7.224 41 2882.45 7.213 632
in CDCl3

1,2-DI(1-NAPHTHYL)DISELANE(1787-80-0) 1H NMR Atlas of Related Products
HomePage | Member Companies | Advertising | Contact us | Previous WebSite | MSDS | CAS Index | CAS DataBase
Copyright © 2017 ChemicalBook All rights reserved.