Welcome to chemicalbook!
+1 (818) 612-2111
RFQ
Try our best to find the right business for you.
Do not miss inquiry messages Please log in to view all inquiry messages.

Welcome back!

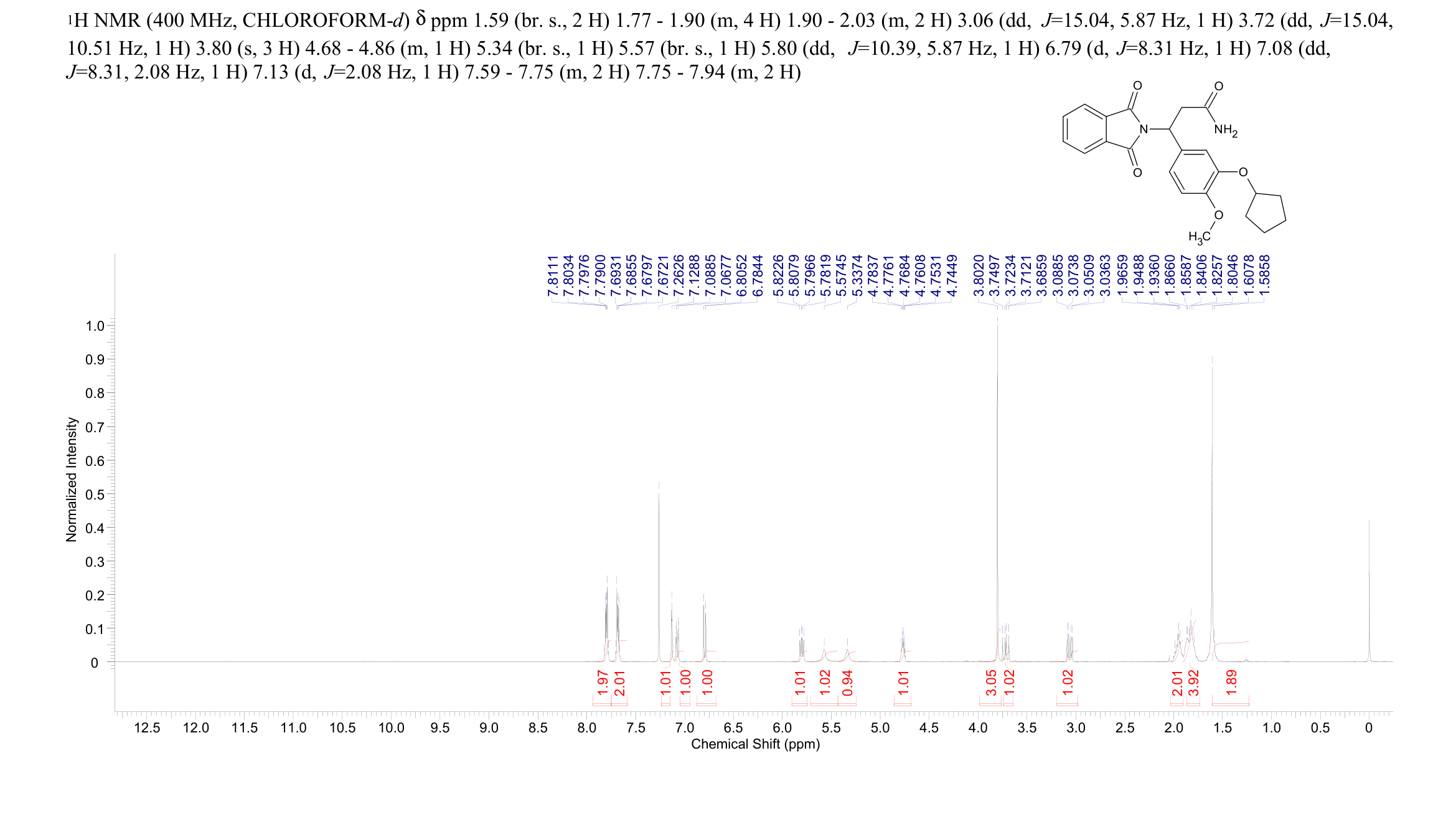
Back ChemicalBook Home>CAS DataBase List>192819-27-5More Spectrum> CDC801(192819-27-5) 1H NMR

192819-27-5

CDC801(192819-27-5) 1H NMR

Product NameCDC801

CAS192819-27-5

Molecular FormulaC23H24N2O5

Molecular Weight408.45

CDC801(192819-27-5) 1H NMR Atlas of Related Products

×