Welcome to chemicalbook!
+1 (818) 612-2111
RFQ
Try our best to find the right business for you.
Do not miss inquiry messages Please log in to view all inquiry messages.

Welcome back!

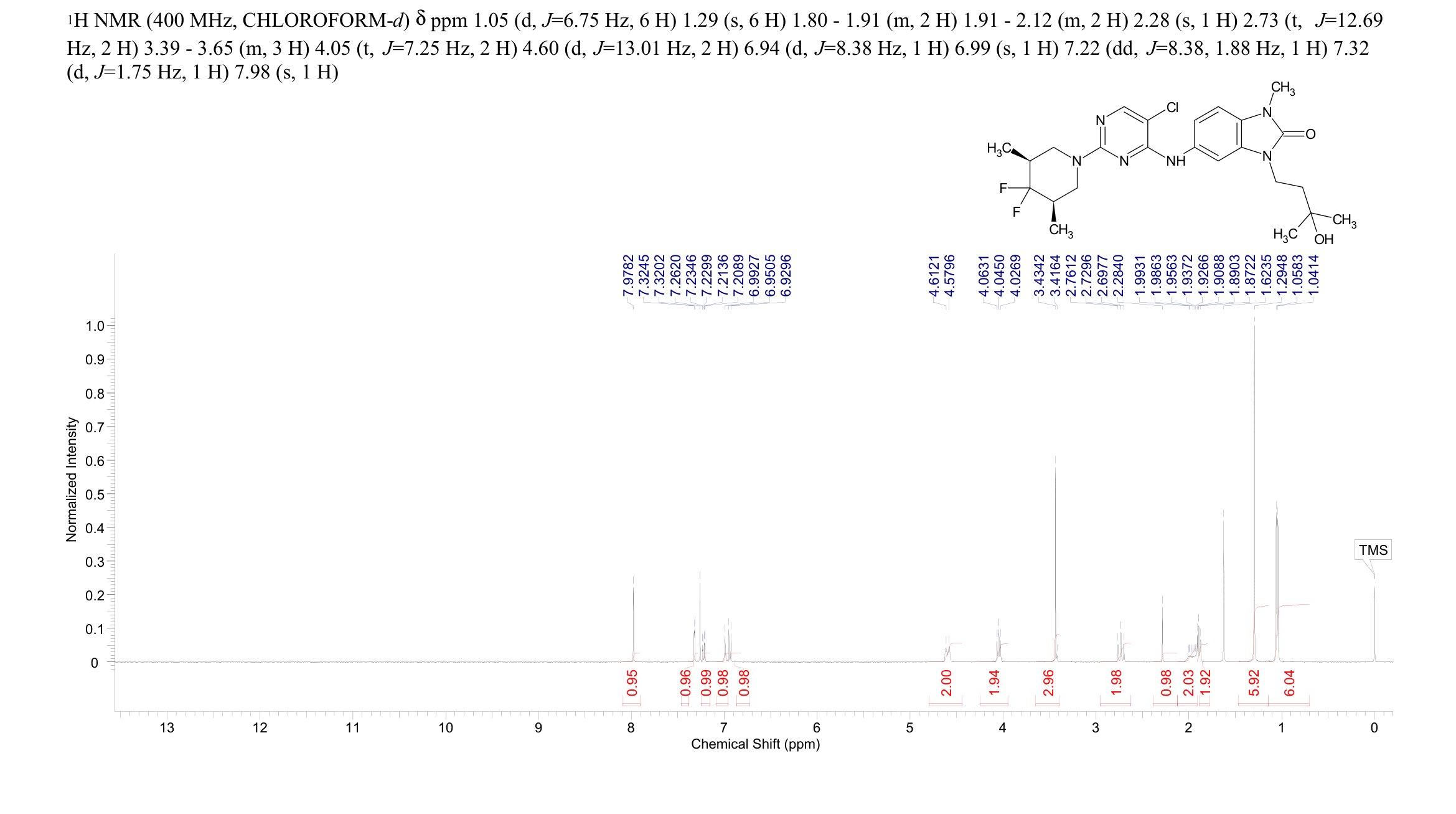
Back ChemicalBook Home>CAS DataBase List>2253878-44-1More Spectrum> BCL6-IN-3(2253878-44-1) 1H NMR

2253878-44-1

BCL6-IN-3(2253878-44-1) 1H NMR

Product NameBCL6-IN-3

CAS2253878-44-1

Molecular FormulaC24H31ClF2N6O2

Molecular Weight508.99

BCL6-IN-3(2253878-44-1) 1H NMR Atlas of Related Products

×